mp-29138/KAuSe2/anharm

Harmonic properties

../../_images/fig_bandos_pr11407.png

(a) Phonon dispersion with participation ratio and DOS

../../_images/fig_thermo11407.png

(b) Thermodynamic properties

Grüneisen parameters

../../_images/fig_gru_all4725.png

(a) Grüneisen parameters

../../_images/fig_gruneisen4725.png

(b) Phonon dispersion with Grüneisen parameters

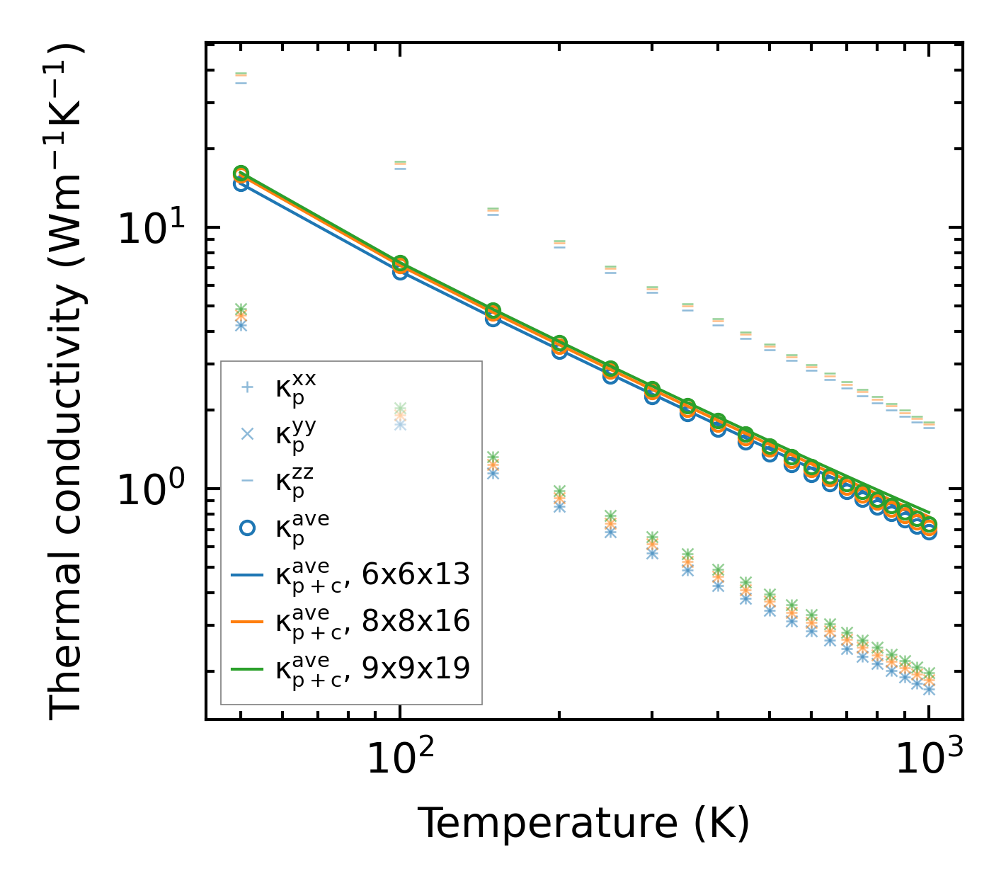
Thermal conductivity

3-phonon (LASSO) — q-mesh: 9x9x19, supercell: 2x2x4

../../_images/fig_kappa8918.png

(a) Temperature-dependent lattice thermal conductivity

../../_images/fig_kappa_vs_grain_size4784.png

(b) Peierls lattice thermal conductivity w.r.t grain size

Phonon lifetime and scattering rates

../../_images/fig_lifetime4681.png

(a) Phonon lifetime due to phonon-phonon scattering

../../_images/fig_scat_rates4680.png

(b) Phonon scattering rates

Cumulative and spectral thermal conductivity

../../_images/fig_cumu_frequency4681.png

(a) Spectral and cumulative thermal conductivity w.r.t frequency

../../_images/fig_cumu_mfp4680.png

(b) Spectral and cumulative thermal conductivity w.r.t MFP

Force constants

../../_images/fig_fc211123.png

(a) Force constants w.r.t atomic distance

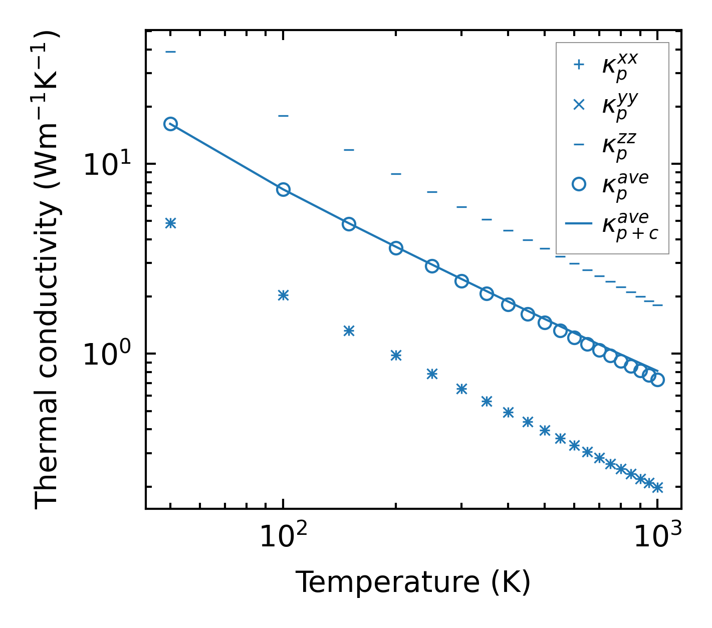
Summary

../../_images/fig_kappa8919.png

(a) Temperature-dependent lattice thermal conductivity

../../_images/fig_times19455.png

(b) Computation time