mp-29212/Tl4PbI6/anharm

Harmonic properties

../../_images/fig_bandos_pr11442.png

(a) Phonon dispersion with participation ratio and DOS

../../_images/fig_thermo11442.png

(b) Thermodynamic properties

Grüneisen parameters

../../_images/fig_gru_all4740.png

(a) Grüneisen parameters

../../_images/fig_gruneisen4740.png

(b) Phonon dispersion with Grüneisen parameters

Thermal conductivity

3-phonon (LASSO) — q-mesh: 7x3x15, supercell: 2x1x3

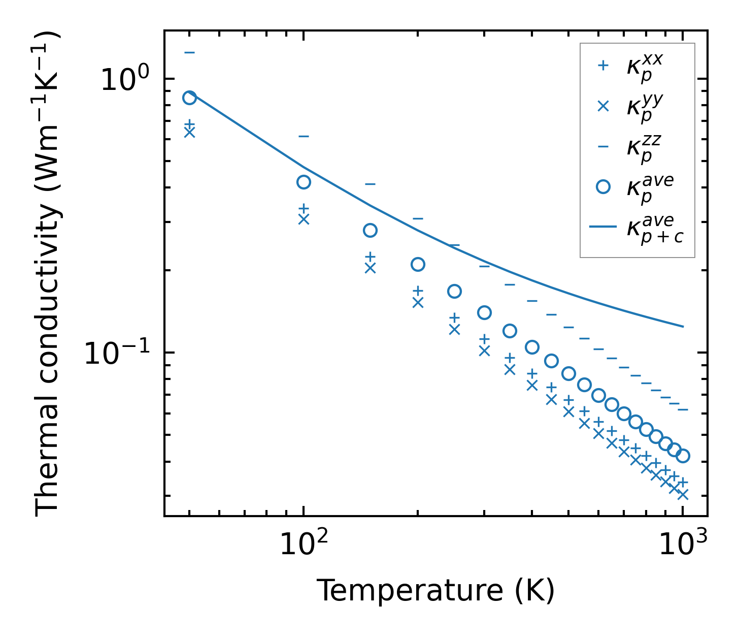
../../_images/fig_kappa8945.png

(a) Temperature-dependent lattice thermal conductivity

../../_images/fig_kappa_vs_grain_size4798.png

(b) Peierls lattice thermal conductivity w.r.t grain size

Phonon lifetime and scattering rates

../../_images/fig_lifetime4695.png

(a) Phonon lifetime due to phonon-phonon scattering

../../_images/fig_scat_rates4694.png

(b) Phonon scattering rates

Cumulative and spectral thermal conductivity

../../_images/fig_cumu_frequency4695.png

(a) Spectral and cumulative thermal conductivity w.r.t frequency

../../_images/fig_cumu_mfp4694.png

(b) Spectral and cumulative thermal conductivity w.r.t MFP

Force constants

../../_images/fig_fc211158.png

(a) Force constants w.r.t atomic distance

Summary

../../_images/fig_kappa8946.png

(a) Temperature-dependent lattice thermal conductivity

../../_images/fig_times19505.png

(b) Computation time