mp-29411-2/Na2B2S5/anharm

Equation of state

../../_images/fig_bm5471.png

(a) Equation of state

Harmonic properties

../../_images/fig_bandos_pr11192.png

(a) Phonon dispersion with participation ratio and DOS

../../_images/fig_thermo11192.png

(b) Thermodynamic properties

Grüneisen parameters

../../_images/fig_gru_all4617.png

(a) Grüneisen parameters

../../_images/fig_gruneisen4617.png

(b) Phonon dispersion with Grüneisen parameters

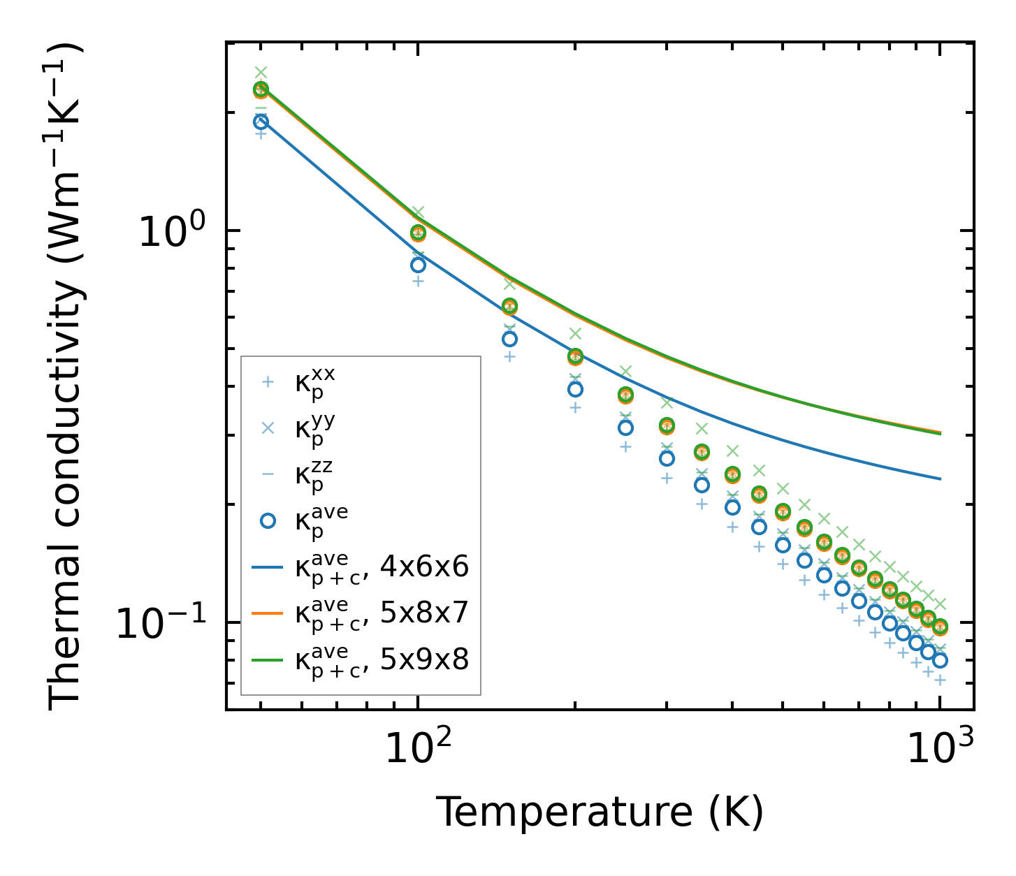
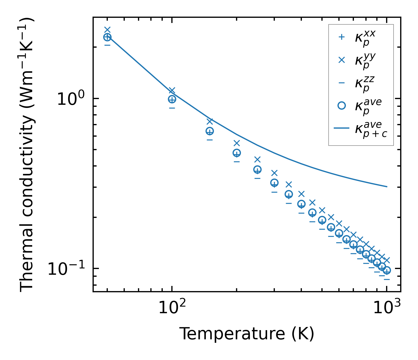
Thermal conductivity

3-phonon (LASSO) — q-mesh: 5x9x8, supercell: 1x2x2

../../_images/fig_kappa8714.png

(a) Temperature-dependent lattice thermal conductivity

../../_images/fig_kappa_vs_grain_size4674.png

(b) Peierls lattice thermal conductivity w.r.t grain size

Phonon lifetime and scattering rates

../../_images/fig_lifetime4573.png

(a) Phonon lifetime due to phonon-phonon scattering

../../_images/fig_scat_rates4572.png

(b) Phonon scattering rates

Cumulative and spectral thermal conductivity

../../_images/fig_cumu_frequency4573.png

(a) Spectral and cumulative thermal conductivity w.r.t frequency

../../_images/fig_cumu_mfp4572.png

(b) Spectral and cumulative thermal conductivity w.r.t MFP

Force constants

../../_images/fig_fc210908.png

(a) Force constants w.r.t atomic distance

Summary

../../_images/fig_kappa8715.png

(a) Temperature-dependent lattice thermal conductivity

../../_images/fig_times19122.png

(b) Computation time