mp-29410/Li2B2S5/anharm

Harmonic properties

../../_images/fig_bandos_pr11190.png

(a) Phonon dispersion with participation ratio and DOS

../../_images/fig_thermo11190.png

(b) Thermodynamic properties

Grüneisen parameters

../../_images/fig_gru_all4615.png

(a) Grüneisen parameters

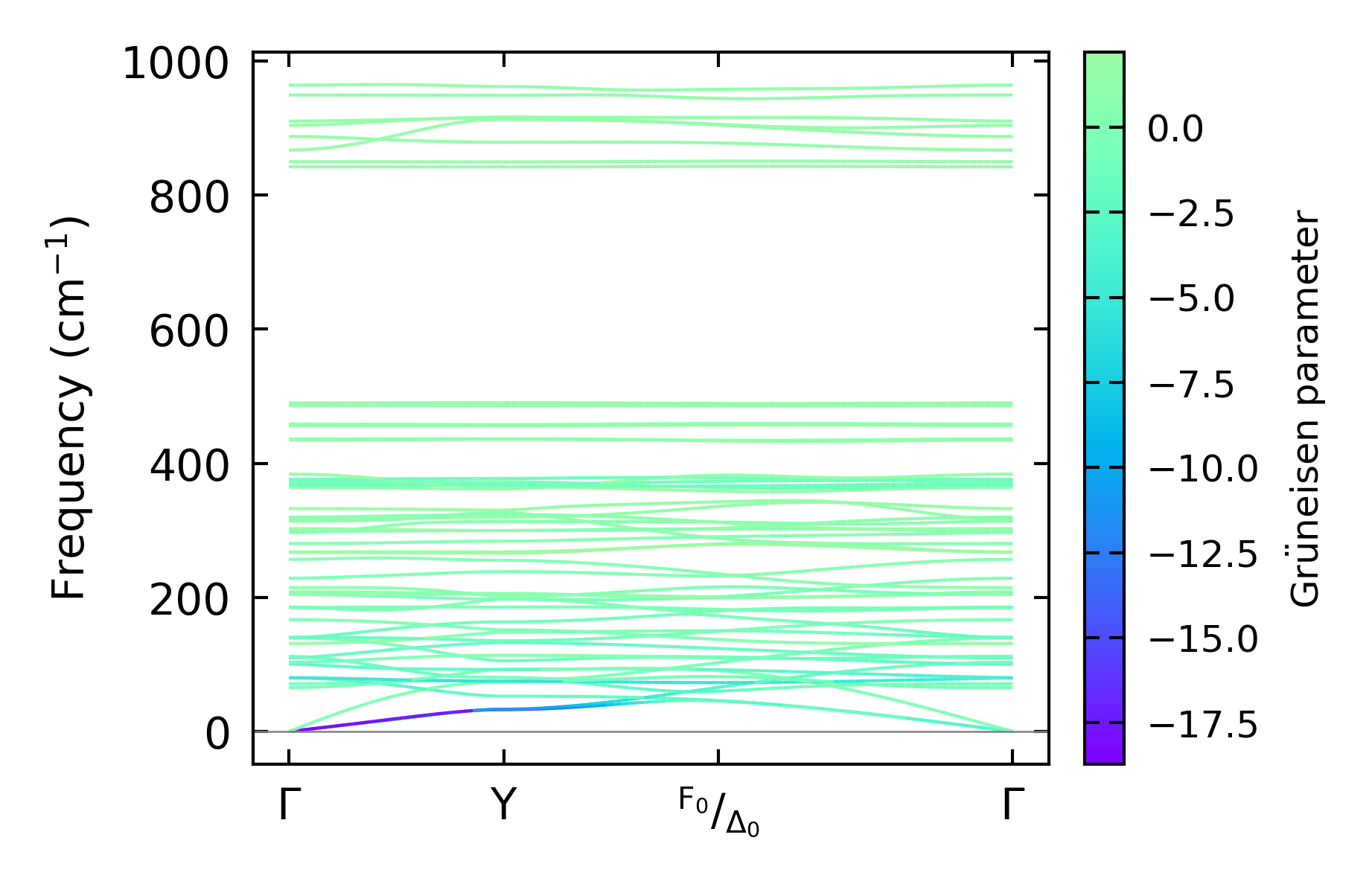
../../_images/fig_gruneisen4615.png

(b) Phonon dispersion with Grüneisen parameters

Thermal conductivity

3-phonon (LASSO) — q-mesh: 9x9x11, supercell: 1x2x2

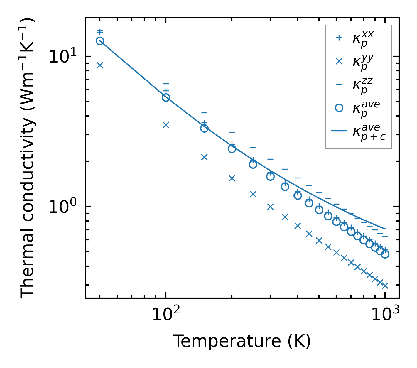
../../_images/fig_kappa8710.png

(a) Temperature-dependent lattice thermal conductivity

../../_images/fig_kappa_vs_grain_size4672.png

(b) Peierls lattice thermal conductivity w.r.t grain size

Phonon lifetime and scattering rates

../../_images/fig_lifetime4571.png

(a) Phonon lifetime due to phonon-phonon scattering

../../_images/fig_scat_rates4570.png

(b) Phonon scattering rates

Cumulative and spectral thermal conductivity

../../_images/fig_cumu_frequency4571.png

(a) Spectral and cumulative thermal conductivity w.r.t frequency

../../_images/fig_cumu_mfp4570.png

(b) Spectral and cumulative thermal conductivity w.r.t MFP

Force constants

../../_images/fig_fc210906.png

(a) Force constants w.r.t atomic distance

Summary

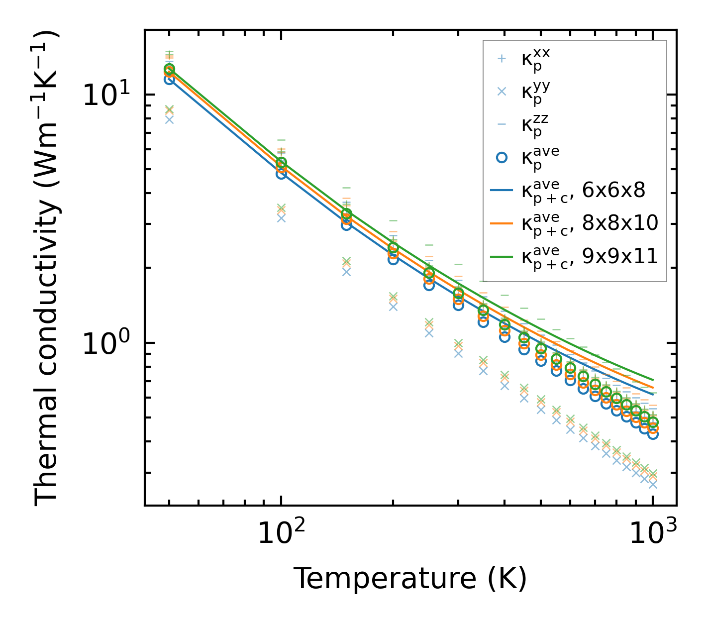
../../_images/fig_kappa8711.png

(a) Temperature-dependent lattice thermal conductivity

../../_images/fig_times19120.png

(b) Computation time