mp-29415/Cd3PCl3/anharm

Harmonic properties

../../_images/fig_bandos_pr11194.png

(a) Phonon dispersion with participation ratio and DOS

../../_images/fig_thermo11194.png

(b) Thermodynamic properties

Grüneisen parameters

../../_images/fig_gru_all4619.png

(a) Grüneisen parameters

../../_images/fig_gruneisen4619.png

(b) Phonon dispersion with Grüneisen parameters

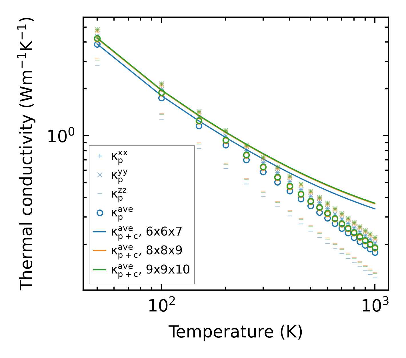
Thermal conductivity

3-phonon (LASSO) — q-mesh: 9x9x10, supercell: 2x2x2

../../_images/fig_kappa8718.png

(a) Temperature-dependent lattice thermal conductivity

../../_images/fig_kappa_vs_grain_size4676.png

(b) Peierls lattice thermal conductivity w.r.t grain size

Phonon lifetime and scattering rates

../../_images/fig_lifetime4575.png

(a) Phonon lifetime due to phonon-phonon scattering

../../_images/fig_scat_rates4574.png

(b) Phonon scattering rates

Cumulative and spectral thermal conductivity

../../_images/fig_cumu_frequency4575.png

(a) Spectral and cumulative thermal conductivity w.r.t frequency

../../_images/fig_cumu_mfp4574.png

(b) Spectral and cumulative thermal conductivity w.r.t MFP

Force constants

../../_images/fig_fc210910.png

(a) Force constants w.r.t atomic distance

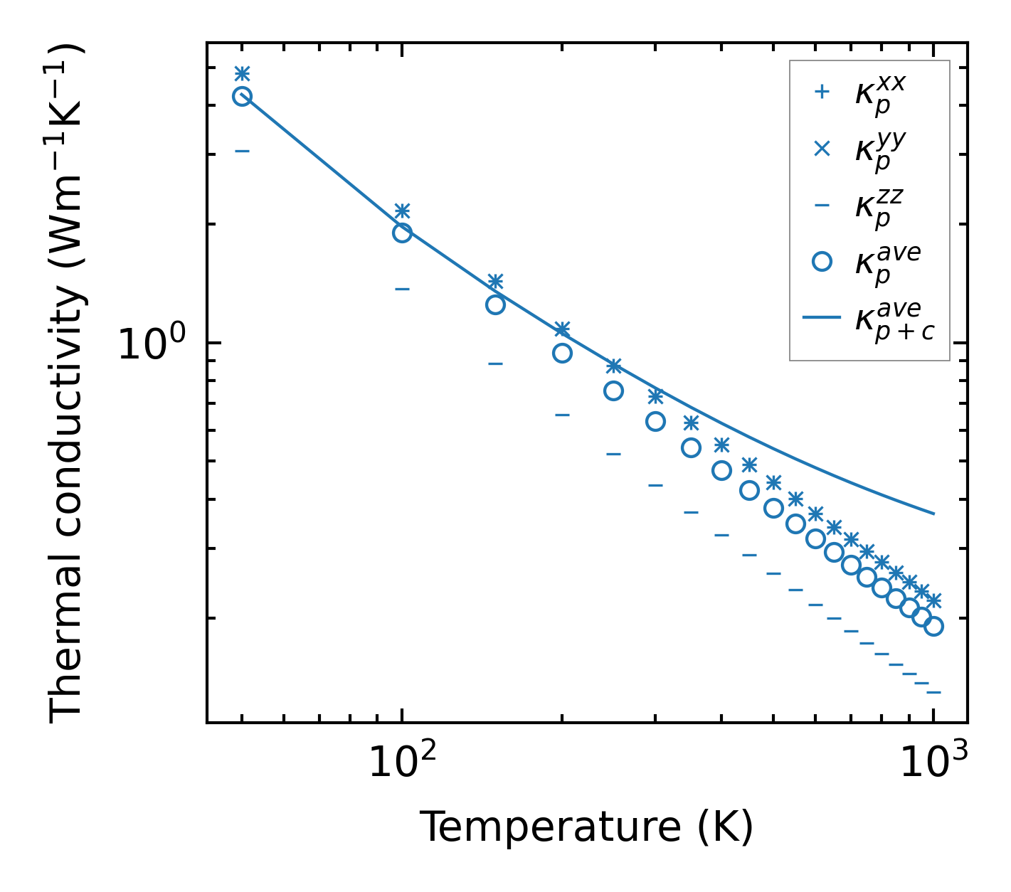
Summary

../../_images/fig_kappa8719.png

(a) Temperature-dependent lattice thermal conductivity

../../_images/fig_times19124.png

(b) Computation time