mp-29880/Sm2SCl4/anharm

Harmonic properties

../../_images/fig_bandos_pr11018.png

(a) Phonon dispersion with participation ratio and DOS

../../_images/fig_bandos14940.png

(b) Phonon dispersion and DOS

../../_images/fig_thermo11018.png

(c) Thermodynamic properties

Grüneisen parameters

../../_images/fig_gru_all4521.png

(a) Grüneisen parameters

../../_images/fig_gruneisen4521.png

(b) Phonon dispersion with Grüneisen parameters

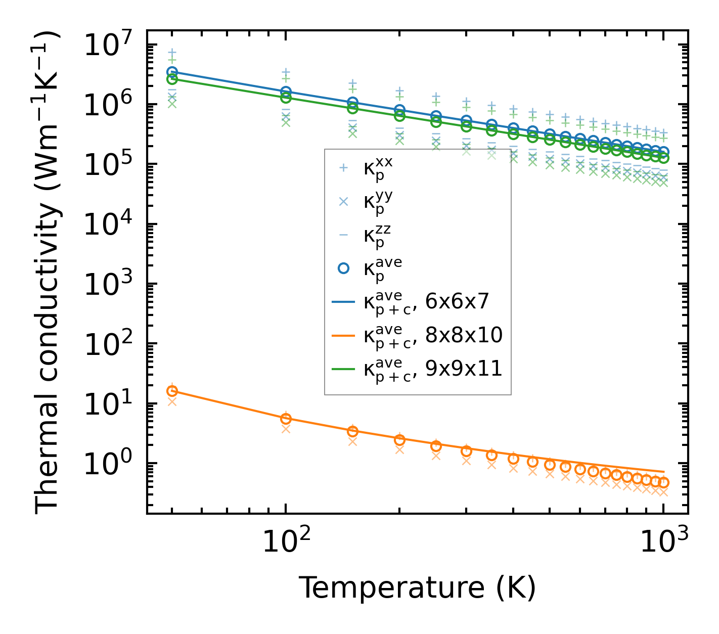
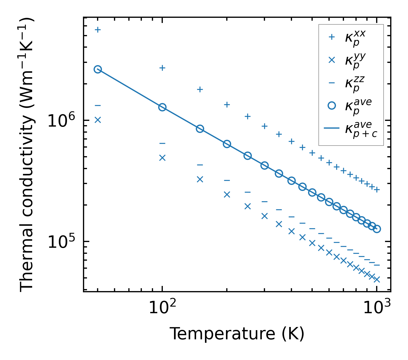
Thermal conductivity

3-phonon (LASSO) — q-mesh: 9x9x11, supercell: 1x2x2

../../_images/fig_kappa8535.png

(a) Temperature-dependent lattice thermal conductivity

../../_images/fig_kappa_vs_grain_size4576.png

(b) Peierls lattice thermal conductivity w.r.t grain size

Phonon lifetime and scattering rates

../../_images/fig_lifetime4477.png

(a) Phonon lifetime due to phonon-phonon scattering

../../_images/fig_scat_rates4476.png

(b) Phonon scattering rates

Cumulative and spectral thermal conductivity

../../_images/fig_cumu_frequency4477.png

(a) Spectral and cumulative thermal conductivity w.r.t frequency

../../_images/fig_cumu_mfp4476.png

(b) Spectral and cumulative thermal conductivity w.r.t MFP

Force constants

../../_images/fig_fc210742.png

(a) Force constants w.r.t atomic distance

Summary

../../_images/fig_kappa8536.png

(a) Temperature-dependent lattice thermal conductivity

../../_images/fig_times18825.png

(b) Computation time