mp-29417/Na3ScBr6/anharm

Harmonic properties

../../_images/fig_bandos_pr11196.png

(a) Phonon dispersion with participation ratio and DOS

../../_images/fig_thermo11196.png

(b) Thermodynamic properties

Grüneisen parameters

../../_images/fig_gru_all4621.png

(a) Grüneisen parameters

../../_images/fig_gruneisen4621.png

(b) Phonon dispersion with Grüneisen parameters

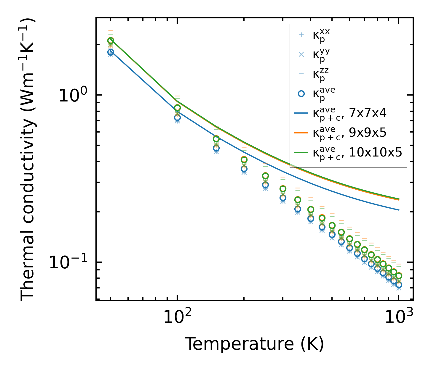
Thermal conductivity

3-phonon (LASSO) — q-mesh: 10x10x5, supercell: 2x2x1

../../_images/fig_kappa8722.png

(a) Temperature-dependent lattice thermal conductivity

../../_images/fig_kappa_vs_grain_size4678.png

(b) Peierls lattice thermal conductivity w.r.t grain size

Phonon lifetime and scattering rates

../../_images/fig_lifetime4577.png

(a) Phonon lifetime due to phonon-phonon scattering

../../_images/fig_scat_rates4576.png

(b) Phonon scattering rates

Cumulative and spectral thermal conductivity

../../_images/fig_cumu_frequency4577.png

(a) Spectral and cumulative thermal conductivity w.r.t frequency

../../_images/fig_cumu_mfp4576.png

(b) Spectral and cumulative thermal conductivity w.r.t MFP

Force constants

../../_images/fig_fc210912.png

(a) Force constants w.r.t atomic distance

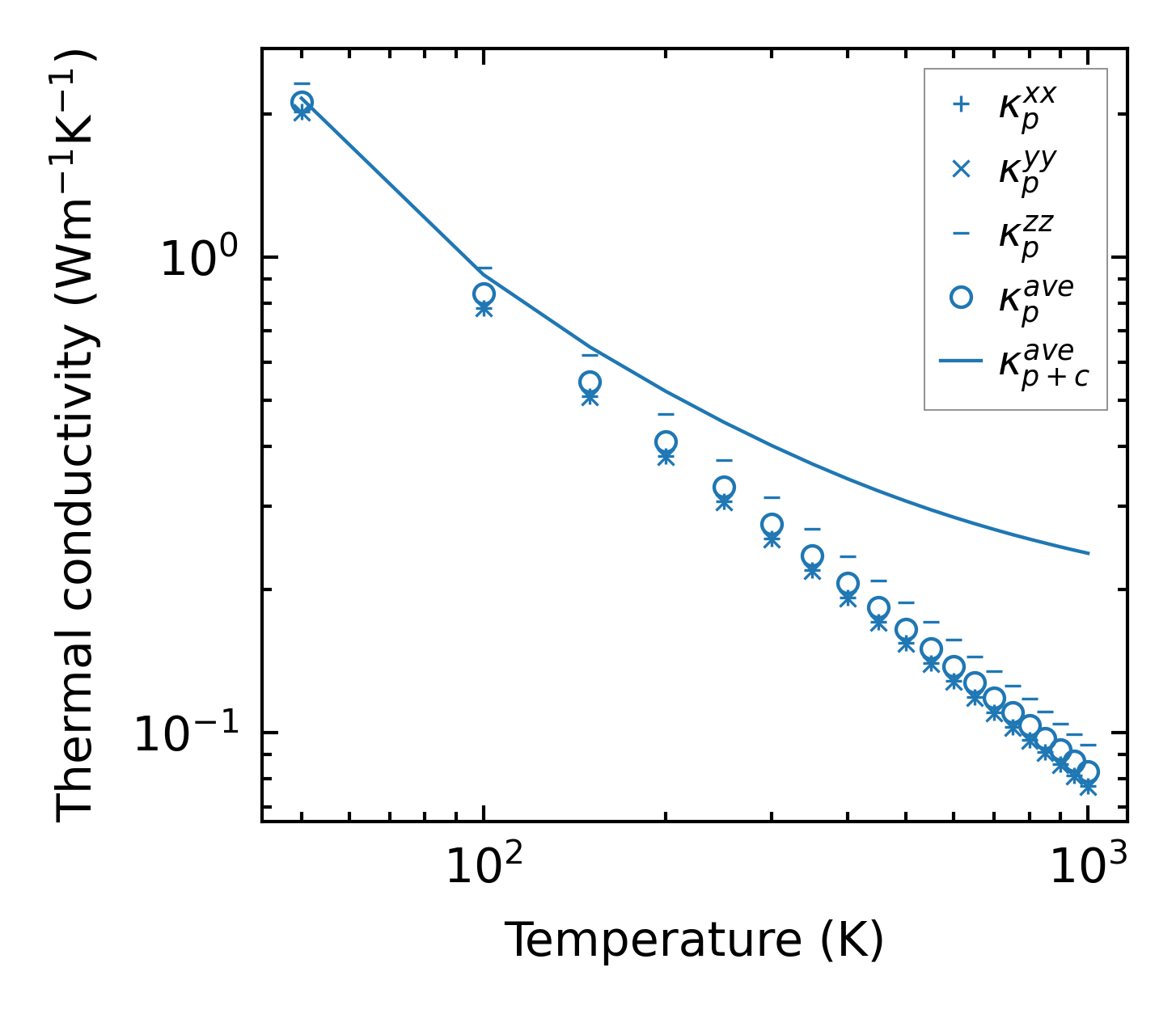
Summary

../../_images/fig_kappa8723.png

(a) Temperature-dependent lattice thermal conductivity

../../_images/fig_times19126.png

(b) Computation time