mp-29384/Rb3TlCl6/anharm

Harmonic properties

../../_images/fig_bandos_pr11176.png

(a) Phonon dispersion with participation ratio and DOS

../../_images/fig_thermo11176.png

(b) Thermodynamic properties

Grüneisen parameters

../../_images/fig_gru_all4608.png

(a) Grüneisen parameters

../../_images/fig_gruneisen4608.png

(b) Phonon dispersion with Grüneisen parameters

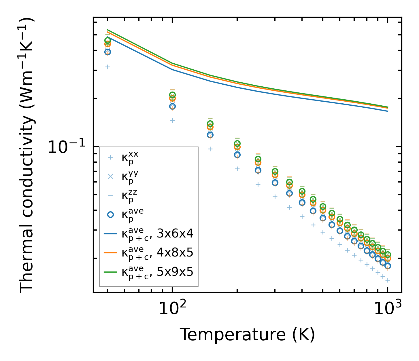
Thermal conductivity

3-phonon (LASSO) — q-mesh: 5x9x5, supercell: 1x2x1

../../_images/fig_kappa8698.png

(a) Temperature-dependent lattice thermal conductivity

../../_images/fig_kappa_vs_grain_size4665.png

(b) Peierls lattice thermal conductivity w.r.t grain size

Phonon lifetime and scattering rates

../../_images/fig_lifetime4564.png

(a) Phonon lifetime due to phonon-phonon scattering

../../_images/fig_scat_rates4563.png

(b) Phonon scattering rates

Cumulative and spectral thermal conductivity

../../_images/fig_cumu_frequency4564.png

(a) Spectral and cumulative thermal conductivity w.r.t frequency

../../_images/fig_cumu_mfp4563.png

(b) Spectral and cumulative thermal conductivity w.r.t MFP

Force constants

../../_images/fig_fc210893.png

(a) Force constants w.r.t atomic distance

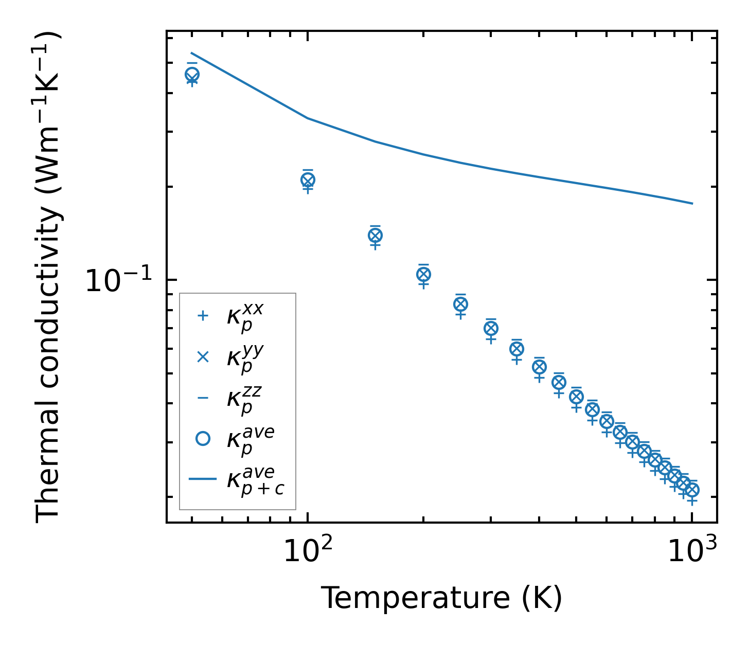
Summary

../../_images/fig_kappa8699.png

(a) Temperature-dependent lattice thermal conductivity

../../_images/fig_times19099.png

(b) Computation time