mp-29383/KGaSb2/anharm

Harmonic properties

../../_images/fig_bandos_pr11175.png

(a) Phonon dispersion with participation ratio and DOS

../../_images/fig_thermo11175.png

(b) Thermodynamic properties

Grüneisen parameters

../../_images/fig_gru_all4607.png

(a) Grüneisen parameters

../../_images/fig_gruneisen4607.png

(b) Phonon dispersion with Grüneisen parameters

Thermal conductivity

3-phonon (LASSO) — q-mesh: 8x8x2, supercell: 1x1x1

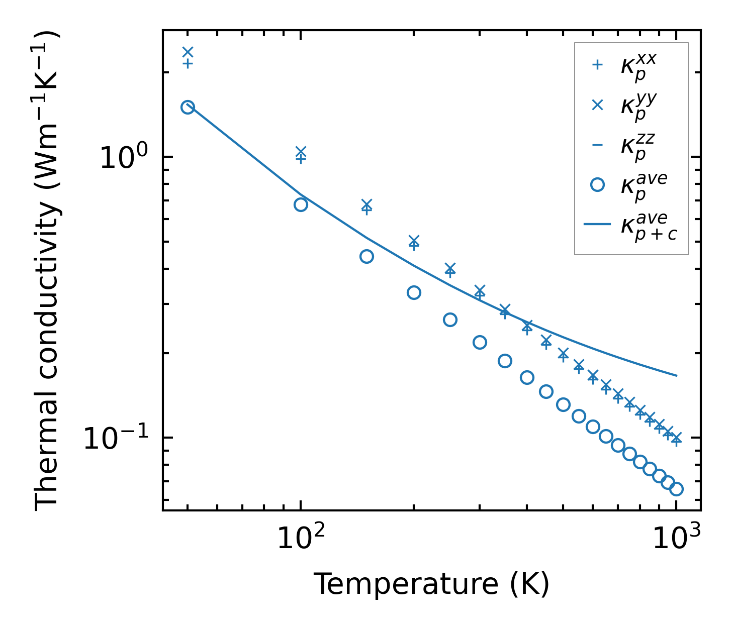
../../_images/fig_kappa8696.png

(a) Temperature-dependent lattice thermal conductivity

../../_images/fig_kappa_vs_grain_size4664.png

(b) Peierls lattice thermal conductivity w.r.t grain size

Phonon lifetime and scattering rates

../../_images/fig_lifetime4563.png

(a) Phonon lifetime due to phonon-phonon scattering

../../_images/fig_scat_rates4562.png

(b) Phonon scattering rates

Cumulative and spectral thermal conductivity

../../_images/fig_cumu_frequency4563.png

(a) Spectral and cumulative thermal conductivity w.r.t frequency

../../_images/fig_cumu_mfp4562.png

(b) Spectral and cumulative thermal conductivity w.r.t MFP

Force constants

../../_images/fig_fc210892.png

(a) Force constants w.r.t atomic distance

Summary

../../_images/fig_kappa8697.png

(a) Temperature-dependent lattice thermal conductivity

../../_images/fig_times19098.png

(b) Computation time