mp-29476/Cu3SbSe3/anharm

Harmonic properties

../../_images/fig_bandos_pr11217.png

(a) Phonon dispersion with participation ratio and DOS

../../_images/fig_thermo11217.png

(b) Thermodynamic properties

Grüneisen parameters

../../_images/fig_gru_all4635.png

(a) Grüneisen parameters

../../_images/fig_gruneisen4635.png

(b) Phonon dispersion with Grüneisen parameters

Thermal conductivity

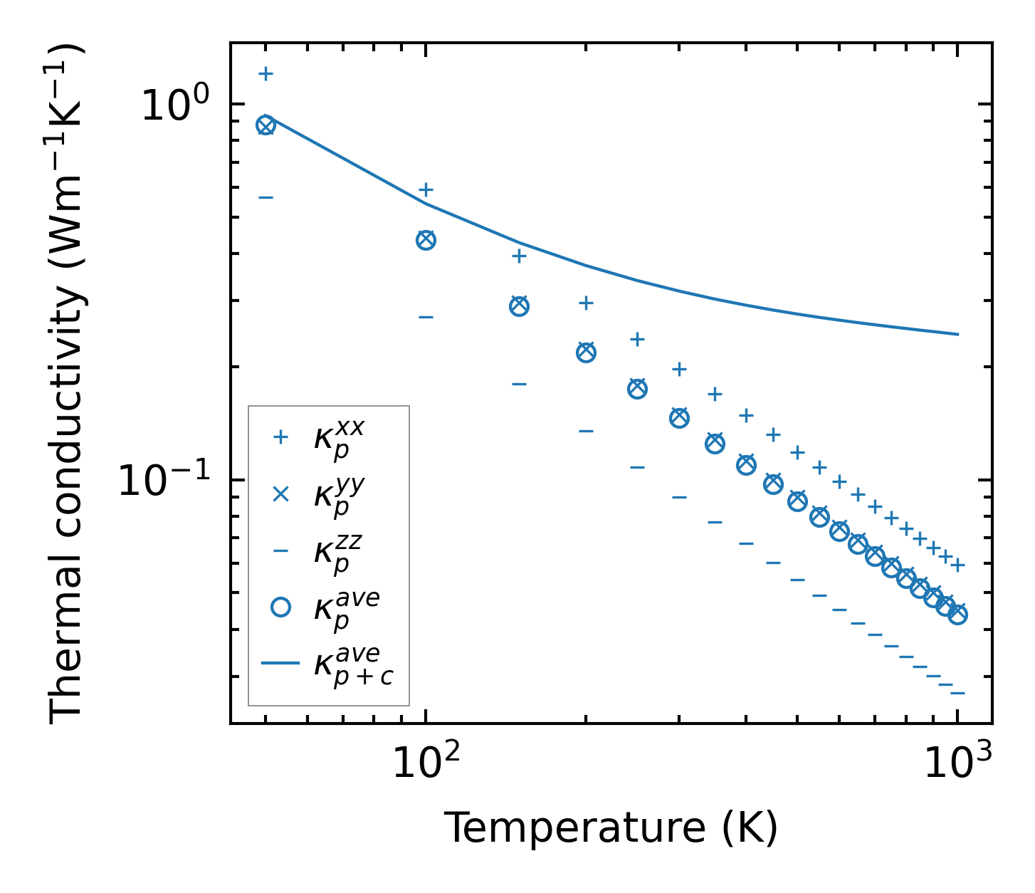
3-phonon (LASSO) — q-mesh: 9x6x10, supercell: 2x1x2

../../_images/fig_kappa8747.png

(a) Temperature-dependent lattice thermal conductivity

../../_images/fig_kappa_vs_grain_size4692.png

(b) Peierls lattice thermal conductivity w.r.t grain size

Phonon lifetime and scattering rates

../../_images/fig_lifetime4591.png

(a) Phonon lifetime due to phonon-phonon scattering

../../_images/fig_scat_rates4590.png

(b) Phonon scattering rates

Cumulative and spectral thermal conductivity

../../_images/fig_cumu_frequency4591.png

(a) Spectral and cumulative thermal conductivity w.r.t frequency

../../_images/fig_cumu_mfp4590.png

(b) Spectral and cumulative thermal conductivity w.r.t MFP

Force constants

../../_images/fig_fc210933.png

(a) Force constants w.r.t atomic distance

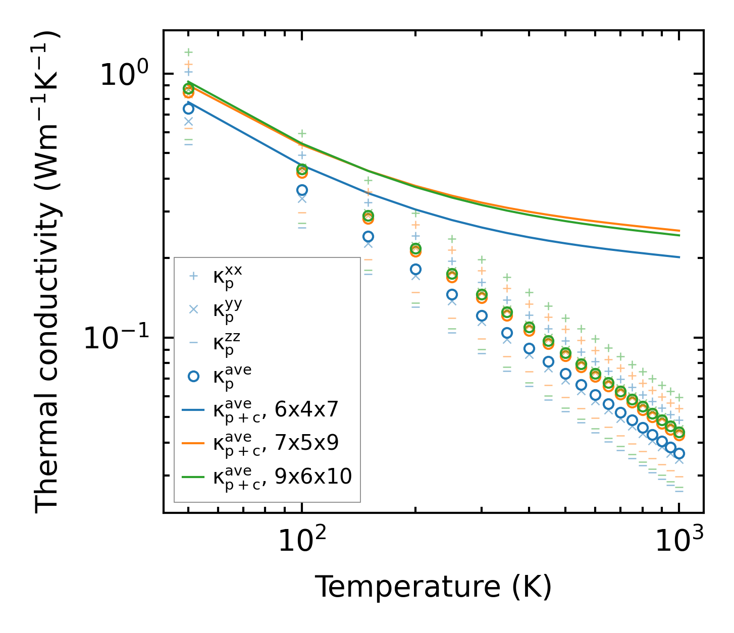
Summary

../../_images/fig_kappa8748.png

(a) Temperature-dependent lattice thermal conductivity

../../_images/fig_times19159.png

(b) Computation time