mp-29529/NaSnP/anharm

Harmonic properties

../../_images/fig_bandos_pr11241.png

(a) Phonon dispersion with participation ratio and DOS

../../_images/fig_thermo11241.png

(b) Thermodynamic properties

Grüneisen parameters

../../_images/fig_gru_all4643.png

(a) Grüneisen parameters

../../_images/fig_gruneisen4643.png

(b) Phonon dispersion with Grüneisen parameters

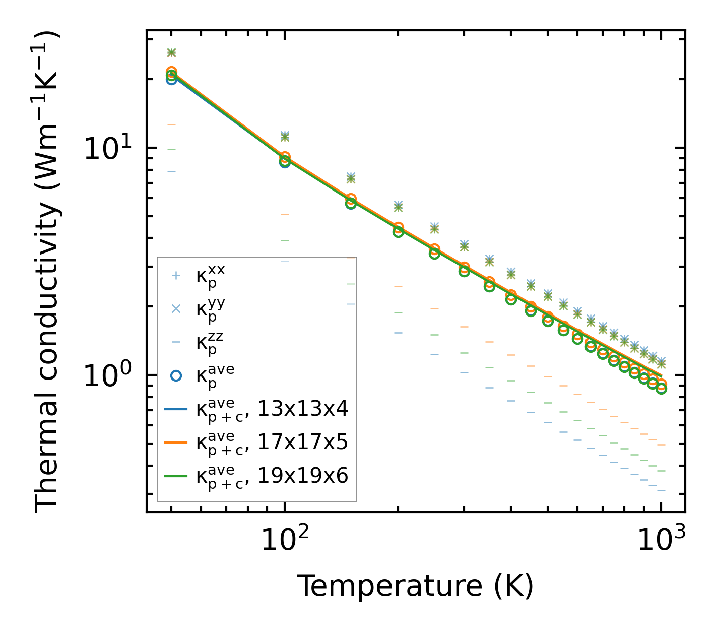
Thermal conductivity

3-phonon (LASSO) — q-mesh: 19x19x6, supercell: 3x3x2

../../_images/fig_kappa8763.png

(a) Temperature-dependent lattice thermal conductivity

../../_images/fig_kappa_vs_grain_size4700.png

(b) Peierls lattice thermal conductivity w.r.t grain size

Phonon lifetime and scattering rates

../../_images/fig_lifetime4599.png

(a) Phonon lifetime due to phonon-phonon scattering

../../_images/fig_scat_rates4598.png

(b) Phonon scattering rates

Cumulative and spectral thermal conductivity

../../_images/fig_cumu_frequency4599.png

(a) Spectral and cumulative thermal conductivity w.r.t frequency

../../_images/fig_cumu_mfp4598.png

(b) Spectral and cumulative thermal conductivity w.r.t MFP

Force constants

../../_images/fig_fc210957.png

(a) Force constants w.r.t atomic distance

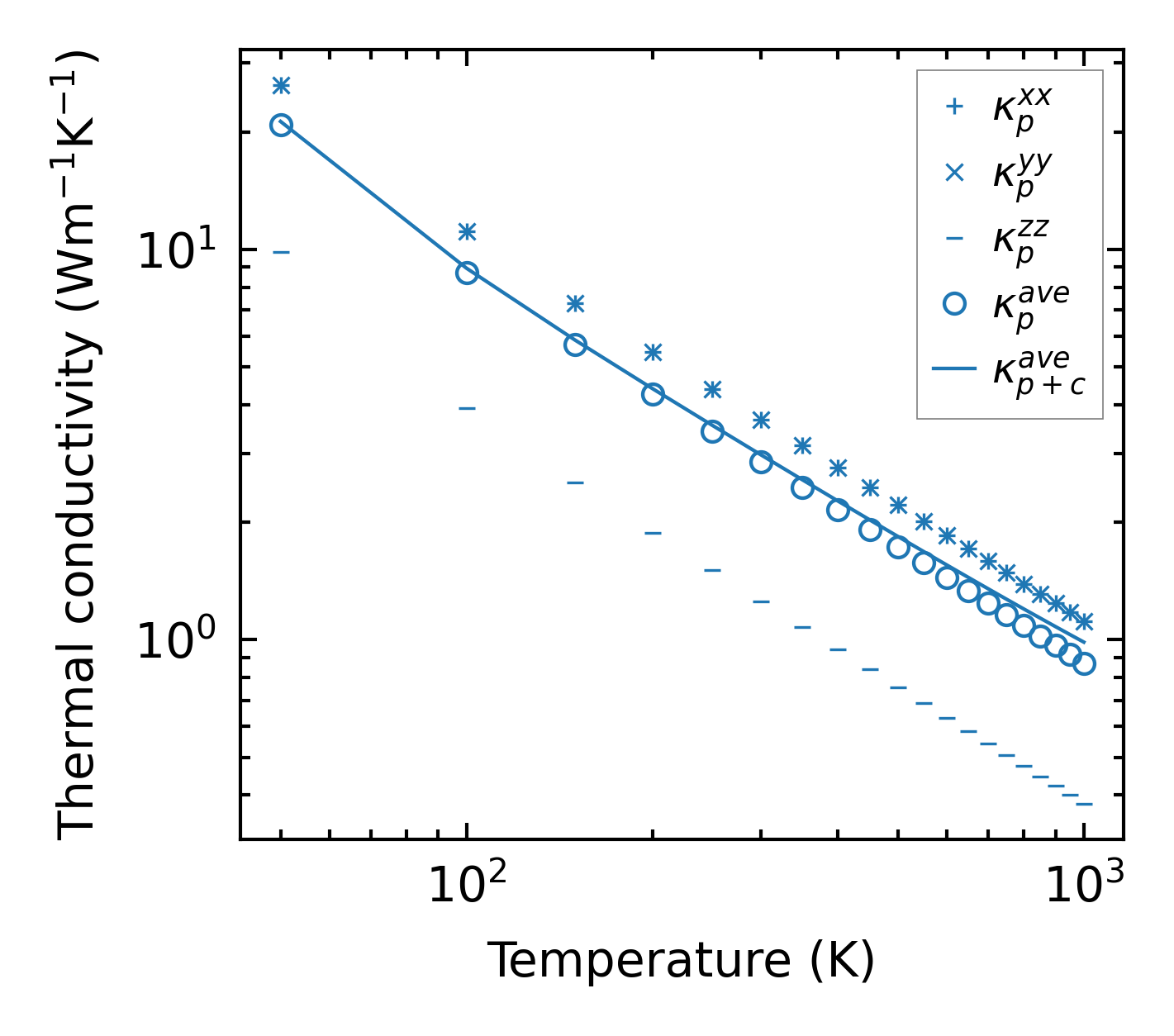
Summary

../../_images/fig_kappa8764.png

(a) Temperature-dependent lattice thermal conductivity

../../_images/fig_times19193.png

(b) Computation time