mp-29849/Ag3SnP7/anharm

Harmonic properties

../../_images/fig_bandos_pr11014.png

(a) Phonon dispersion with participation ratio and DOS

../../_images/fig_thermo11014.png

(b) Thermodynamic properties

Grüneisen parameters

../../_images/fig_gru_all4519.png

(a) Grüneisen parameters

../../_images/fig_gruneisen4519.png

(b) Phonon dispersion with Grüneisen parameters

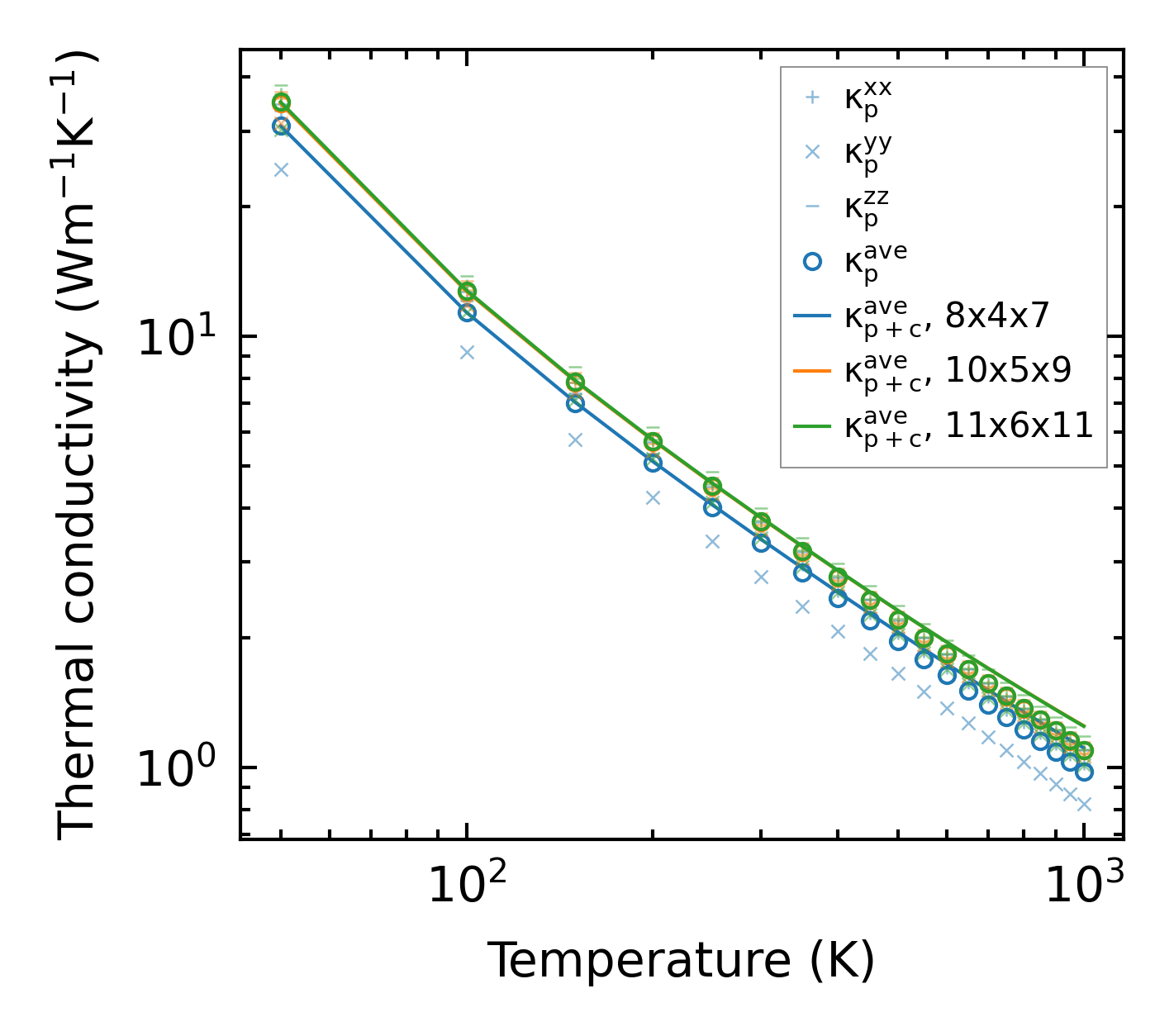
Thermal conductivity

3-phonon (LASSO) — q-mesh: 11x6x11, supercell: 2x1x2

../../_images/fig_kappa8531.png

(a) Temperature-dependent lattice thermal conductivity

../../_images/fig_kappa_vs_grain_size4574.png

(b) Peierls lattice thermal conductivity w.r.t grain size

Phonon lifetime and scattering rates

../../_images/fig_lifetime4475.png

(a) Phonon lifetime due to phonon-phonon scattering

../../_images/fig_scat_rates4474.png

(b) Phonon scattering rates

Cumulative and spectral thermal conductivity

../../_images/fig_cumu_frequency4475.png

(a) Spectral and cumulative thermal conductivity w.r.t frequency

../../_images/fig_cumu_mfp4474.png

(b) Spectral and cumulative thermal conductivity w.r.t MFP

Force constants

../../_images/fig_fc210738.png

(a) Force constants w.r.t atomic distance

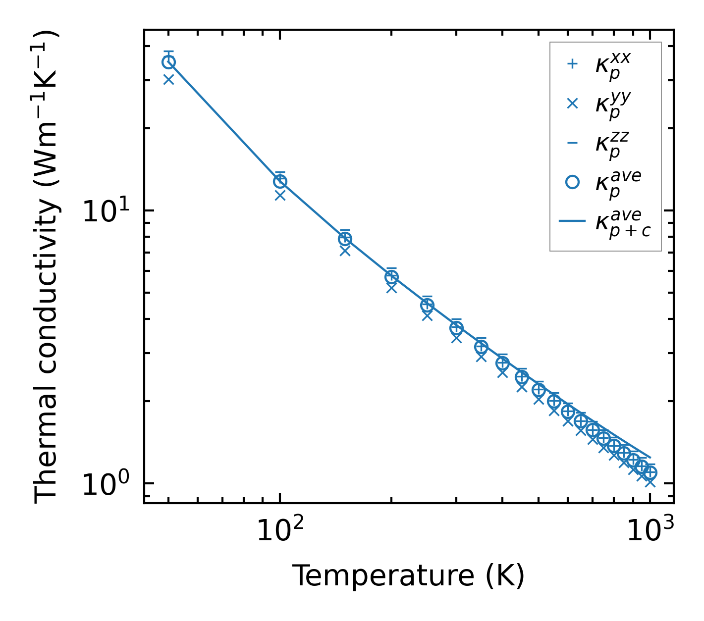
Summary

../../_images/fig_kappa8532.png

(a) Temperature-dependent lattice thermal conductivity

../../_images/fig_times18813.png

(b) Computation time