mp-29027/TaI2O/anharm

Harmonic properties

../../_images/fig_bandos_pr11363.png

(a) Phonon dispersion with participation ratio and DOS

../../_images/fig_thermo11363.png

(b) Thermodynamic properties

Grüneisen parameters

../../_images/fig_gru_all4704.png

(a) Grüneisen parameters

../../_images/fig_gruneisen4704.png

(b) Phonon dispersion with Grüneisen parameters

Thermal conductivity

3-phonon (LASSO) — q-mesh: 11x11x12, supercell: 1x4x2

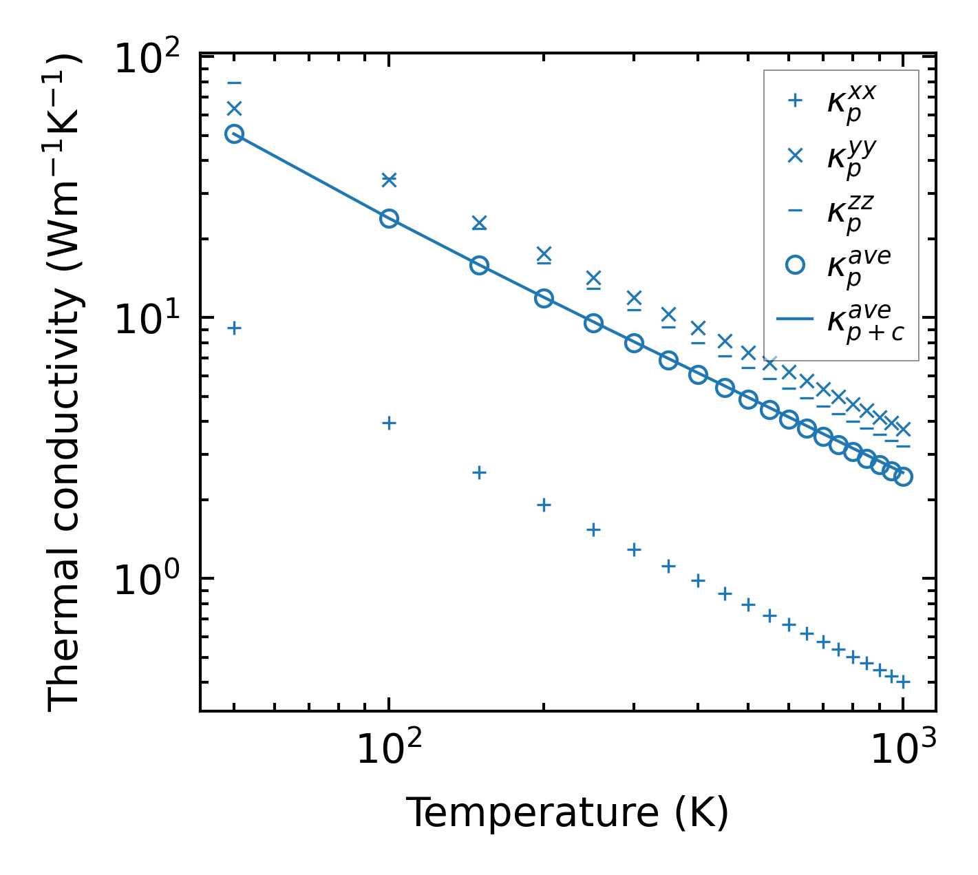
../../_images/fig_kappa8880.png

(a) Temperature-dependent lattice thermal conductivity

../../_images/fig_kappa_vs_grain_size4763.png

(b) Peierls lattice thermal conductivity w.r.t grain size

Phonon lifetime and scattering rates

../../_images/fig_lifetime4660.png

(a) Phonon lifetime due to phonon-phonon scattering

../../_images/fig_scat_rates4659.png

(b) Phonon scattering rates

Cumulative and spectral thermal conductivity

../../_images/fig_cumu_frequency4660.png

(a) Spectral and cumulative thermal conductivity w.r.t frequency

../../_images/fig_cumu_mfp4659.png

(b) Spectral and cumulative thermal conductivity w.r.t MFP

Force constants

../../_images/fig_fc211079.png

(a) Force constants w.r.t atomic distance

Summary

../../_images/fig_kappa8881.png

(a) Temperature-dependent lattice thermal conductivity

../../_images/fig_times19394.png

(b) Computation time