mp-29228/CsSrN9/harm

Harmonic properties

../../_images/fig_bandos_pr11451.png

(a) Phonon dispersion with participation ratio and DOS

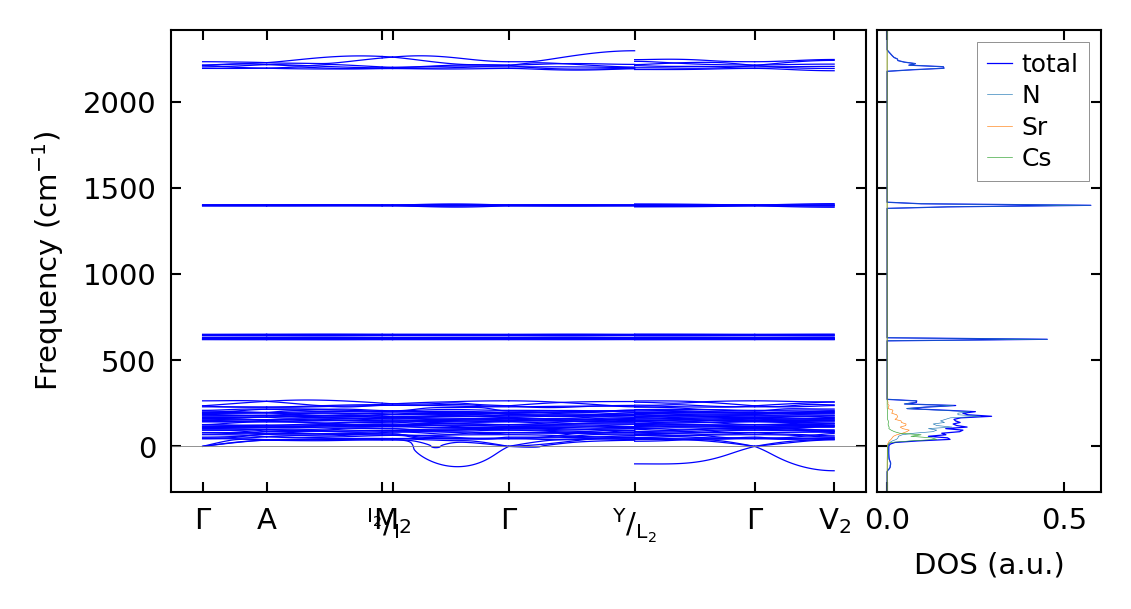
../../_images/fig_bandos15449.png

(b) Phonon dispersion and DOS

../../_images/fig_thermo11451.png

(c) Thermodynamic properties

Force constants

../../_images/fig_fc211167.png

(a) Force constants w.r.t atomic distance

Summary

../../_images/fig_times19523.png

(a) Computation time