mp-29375/Na3InS3/anharm

Equation of state

../../_images/fig_bm5461.png

(a) Equation of state

Harmonic properties

../../_images/fig_bandos_pr11168.png

(a) Phonon dispersion with participation ratio and DOS

../../_images/fig_bandos15135.png

(b) Phonon dispersion and DOS

../../_images/fig_thermo11168.png

(c) Thermodynamic properties

Grüneisen parameters

../../_images/fig_gru_all4604.png

(a) Grüneisen parameters

../../_images/fig_gruneisen4604.png

(b) Phonon dispersion with Grüneisen parameters

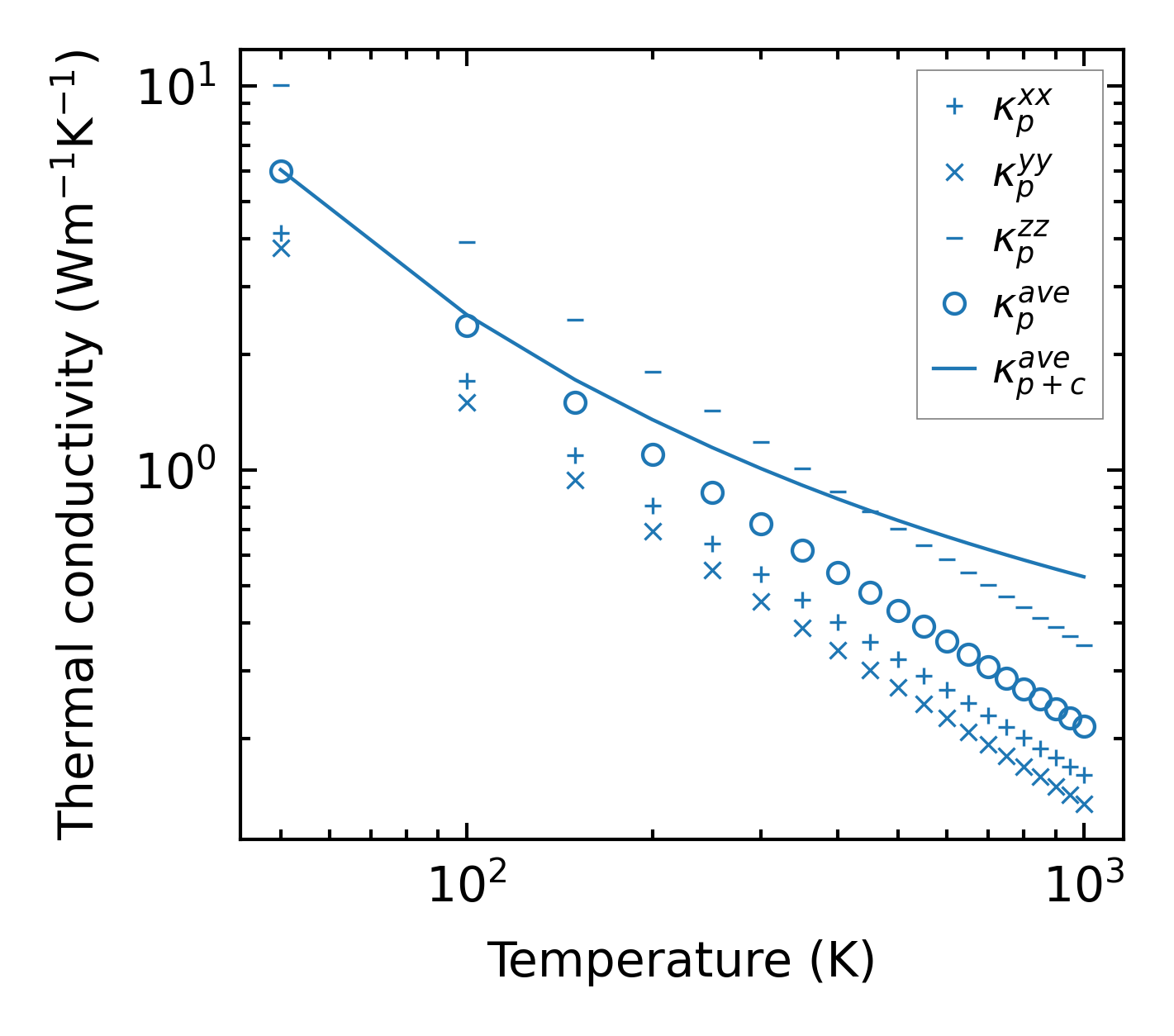
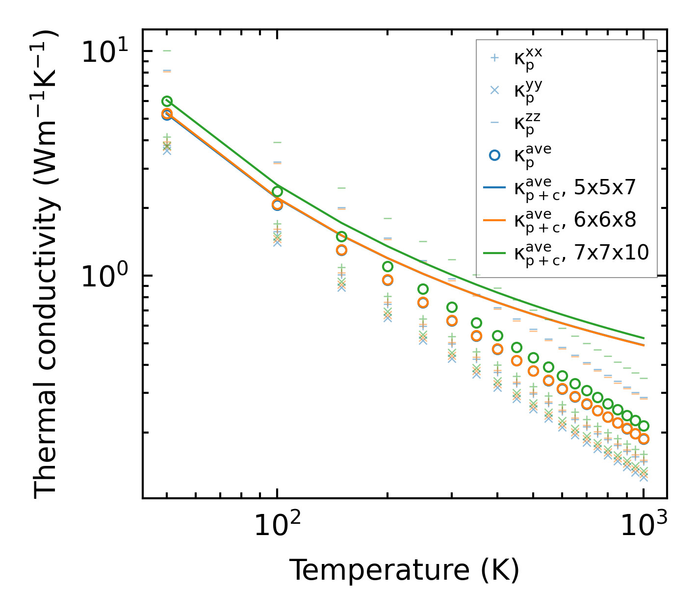
Thermal conductivity

3-phonon (LASSO) — q-mesh: 7x7x10, supercell: 1x1x2

../../_images/fig_kappa8690.png

(a) Temperature-dependent lattice thermal conductivity

../../_images/fig_kappa_vs_grain_size4661.png

(b) Peierls lattice thermal conductivity w.r.t grain size

Phonon lifetime and scattering rates

../../_images/fig_lifetime4560.png

(a) Phonon lifetime due to phonon-phonon scattering

../../_images/fig_scat_rates4559.png

(b) Phonon scattering rates

Cumulative and spectral thermal conductivity

../../_images/fig_cumu_frequency4560.png

(a) Spectral and cumulative thermal conductivity w.r.t frequency

../../_images/fig_cumu_mfp4559.png

(b) Spectral and cumulative thermal conductivity w.r.t MFP

Force constants

../../_images/fig_fc210885.png

(a) Force constants w.r.t atomic distance

Summary

../../_images/fig_kappa8691.png

(a) Temperature-dependent lattice thermal conductivity

../../_images/fig_times19090.png

(b) Computation time