mp-7982/Mg2SiO4/anharm

Harmonic properties

../../_images/fig_bandos_pr4410.png

(a) Phonon dispersion with participation ratio and DOS

../../_images/fig_thermo4410.png

(b) Thermodynamic properties

Grüneisen parameters

../../_images/fig_gru_all1901.png

(a) Grüneisen parameters

../../_images/fig_gruneisen1901.png

(b) Phonon dispersion with Grüneisen parameters

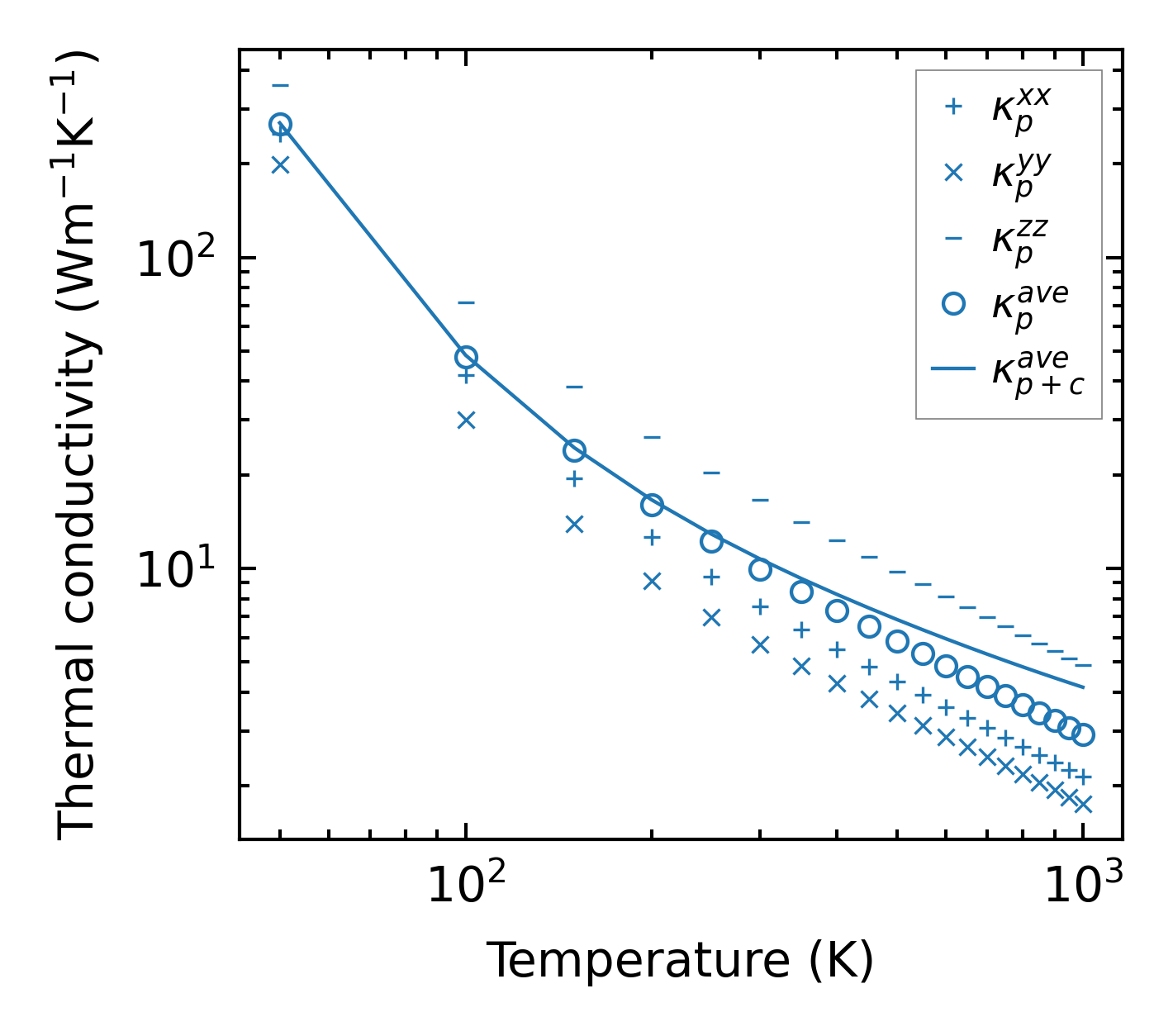
Thermal conductivity

3-phonon (LASSO) — q-mesh: 14x8x25, supercell: 2x1x4

../../_images/fig_kappa3641.png

(a) Temperature-dependent lattice thermal conductivity

../../_images/fig_kappa_vs_grain_size1928.png

(b) Peierls lattice thermal conductivity w.r.t grain size

Phonon lifetime and scattering rates

../../_images/fig_lifetime1890.png

(a) Phonon lifetime due to phonon-phonon scattering

../../_images/fig_scat_rates1889.png

(b) Phonon scattering rates

Cumulative and spectral thermal conductivity

../../_images/fig_cumu_frequency1890.png

(a) Spectral and cumulative thermal conductivity w.r.t frequency

../../_images/fig_cumu_mfp1890.png

(b) Spectral and cumulative thermal conductivity w.r.t MFP

Force constants

../../_images/fig_fc24223.png

(a) Force constants w.r.t atomic distance

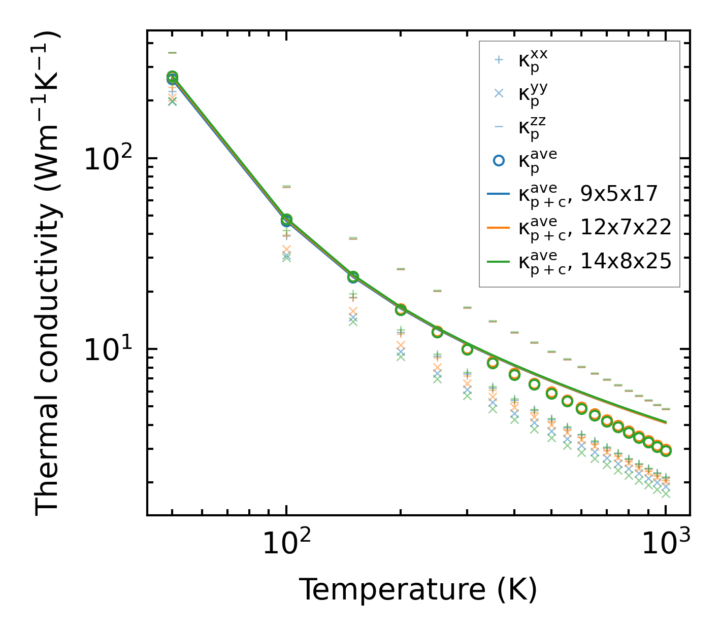
Summary

../../_images/fig_kappa3642.png

(a) Temperature-dependent lattice thermal conductivity

../../_images/fig_times7836.png

(b) Computation time