mp-7074/NaScSi2O6/anharm

Equation of state

../../_images/fig_bm2377.png

(a) Equation of state

Harmonic properties

../../_images/fig_bandos_pr4790.png

(a) Phonon dispersion with participation ratio and DOS

../../_images/fig_thermo4790.png

(b) Thermodynamic properties

Grüneisen parameters

../../_images/fig_gru_all2063.png

(a) Grüneisen parameters

../../_images/fig_gruneisen2063.png

(b) Phonon dispersion with Grüneisen parameters

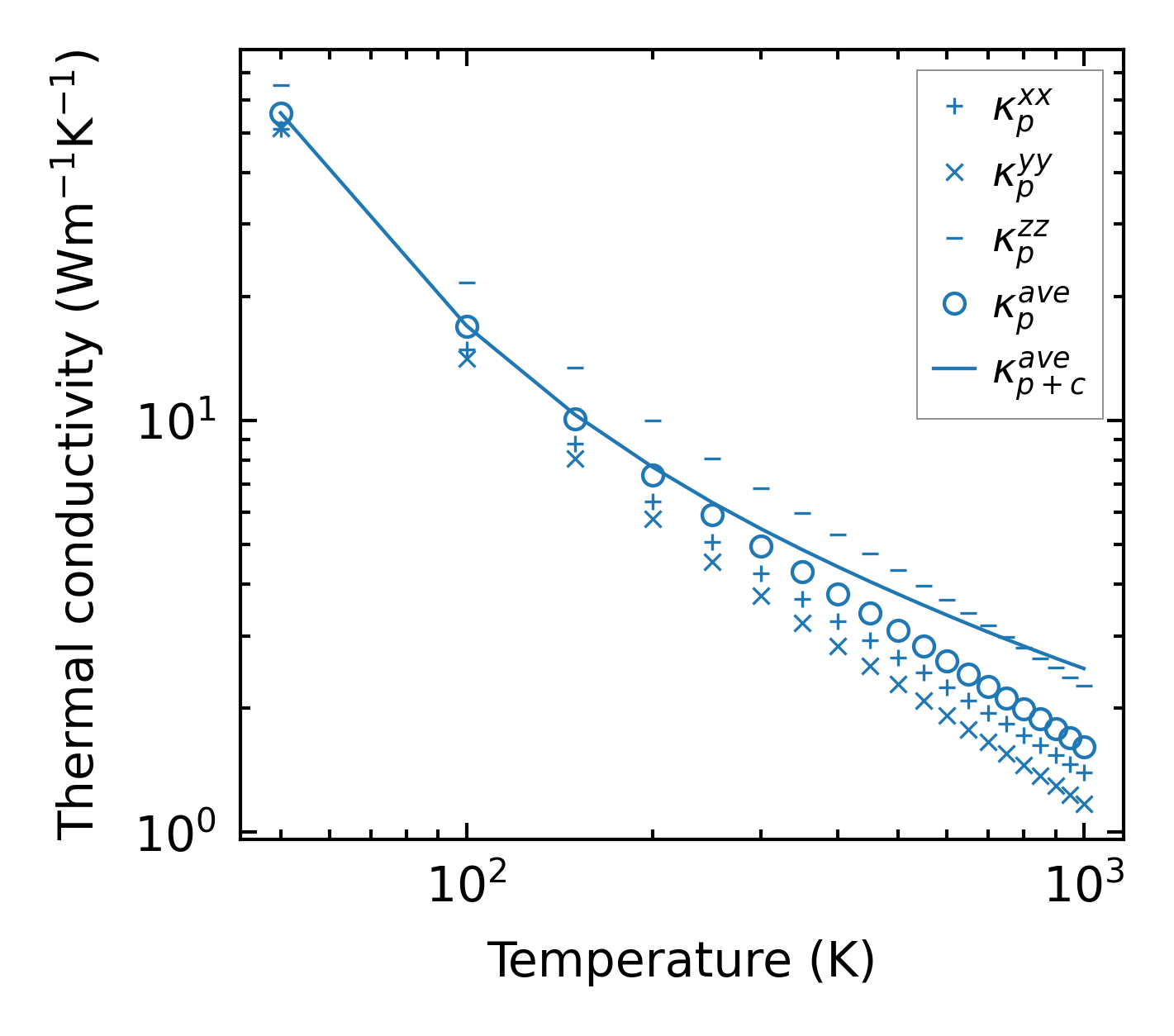
Thermal conductivity

3-phonon (LASSO) — q-mesh: 10x10x13, supercell: 1x1x2

../../_images/fig_kappa3954.png

(a) Temperature-dependent lattice thermal conductivity

../../_images/fig_kappa_vs_grain_size2093.png

(b) Peierls lattice thermal conductivity w.r.t grain size

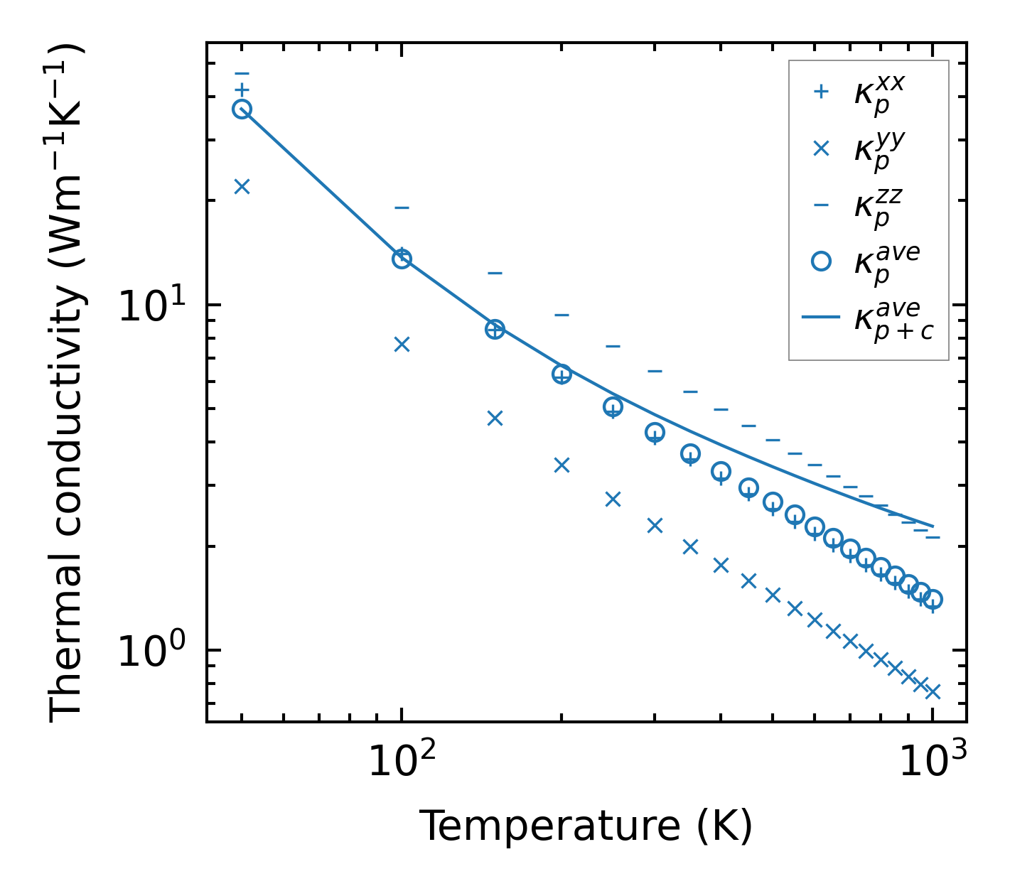
3-phonon (LASSO), supercell 1x2x2 — q-mesh: 10x10x13, supercell: 1x2x2

../../_images/fig_kappa3955.png

(a) Temperature-dependent lattice thermal conductivity

../../_images/fig_kappa_vs_grain_size2094.png

(b) Peierls lattice thermal conductivity w.r.t grain size

Phonon lifetime and scattering rates

../../_images/fig_lifetime2050.png

(a) Phonon lifetime due to phonon-phonon scattering

../../_images/fig_scat_rates2049.png

(b) Phonon scattering rates

Cumulative and spectral thermal conductivity

../../_images/fig_cumu_frequency2050.png

(a) Spectral and cumulative thermal conductivity w.r.t frequency

../../_images/fig_cumu_mfp2050.png

(b) Spectral and cumulative thermal conductivity w.r.t MFP

Force constants

../../_images/fig_fc24601.png

(a) Force constants w.r.t atomic distance

Summary

../../_images/fig_kappa3956.png

(a) Temperature-dependent lattice thermal conductivity

../../_images/fig_times8494.png

(b) Computation time