mp-7575/LiZnN/anharm

Harmonic properties

../../_images/fig_bandos_pr4578.png

(a) Phonon dispersion with participation ratio and DOS

../../_images/fig_thermo4578.png

(b) Thermodynamic properties

Grüneisen parameters

../../_images/fig_gru_all1976.png

(a) Grüneisen parameters

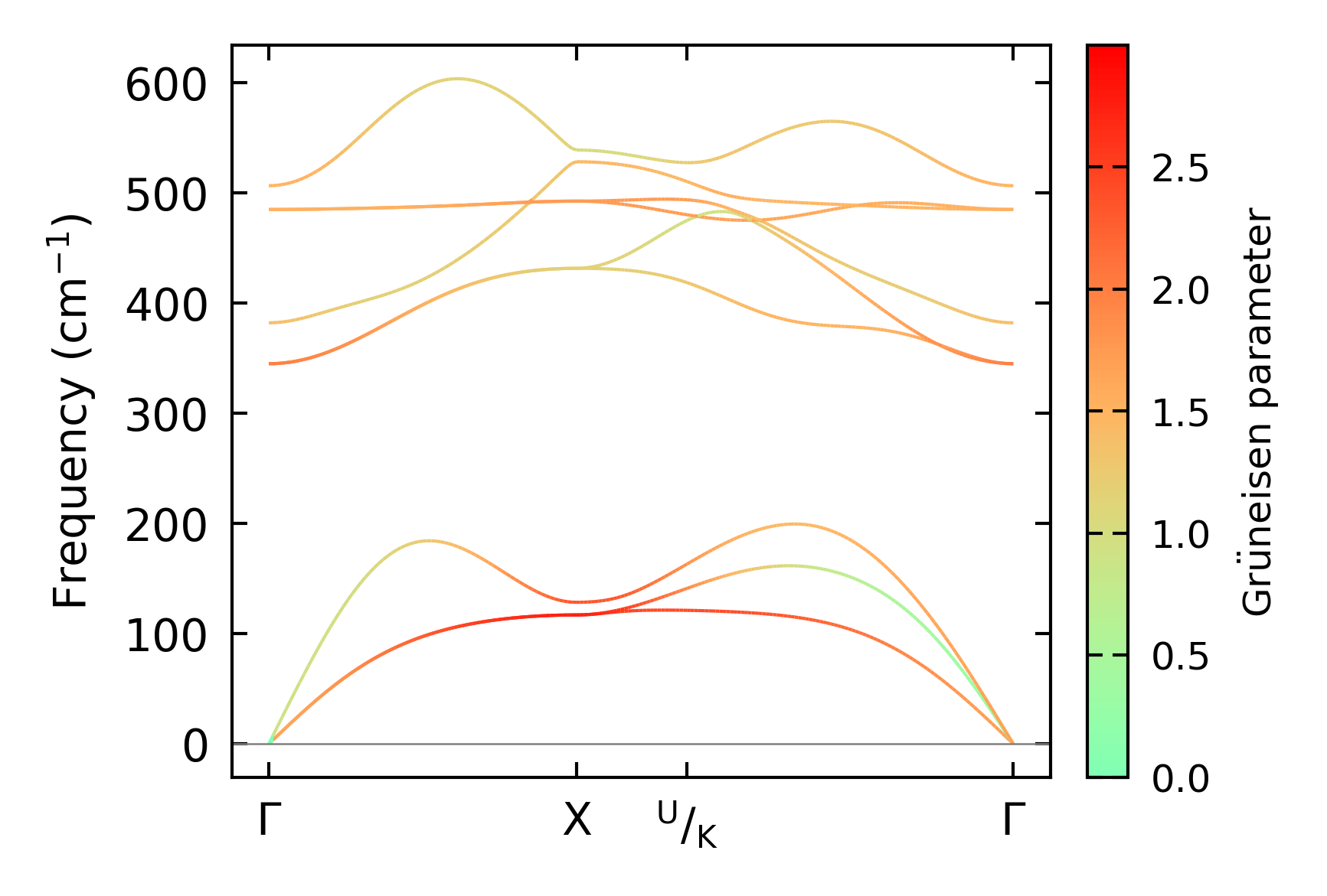
../../_images/fig_gruneisen1976.png

(b) Phonon dispersion with Grüneisen parameters

Thermal conductivity

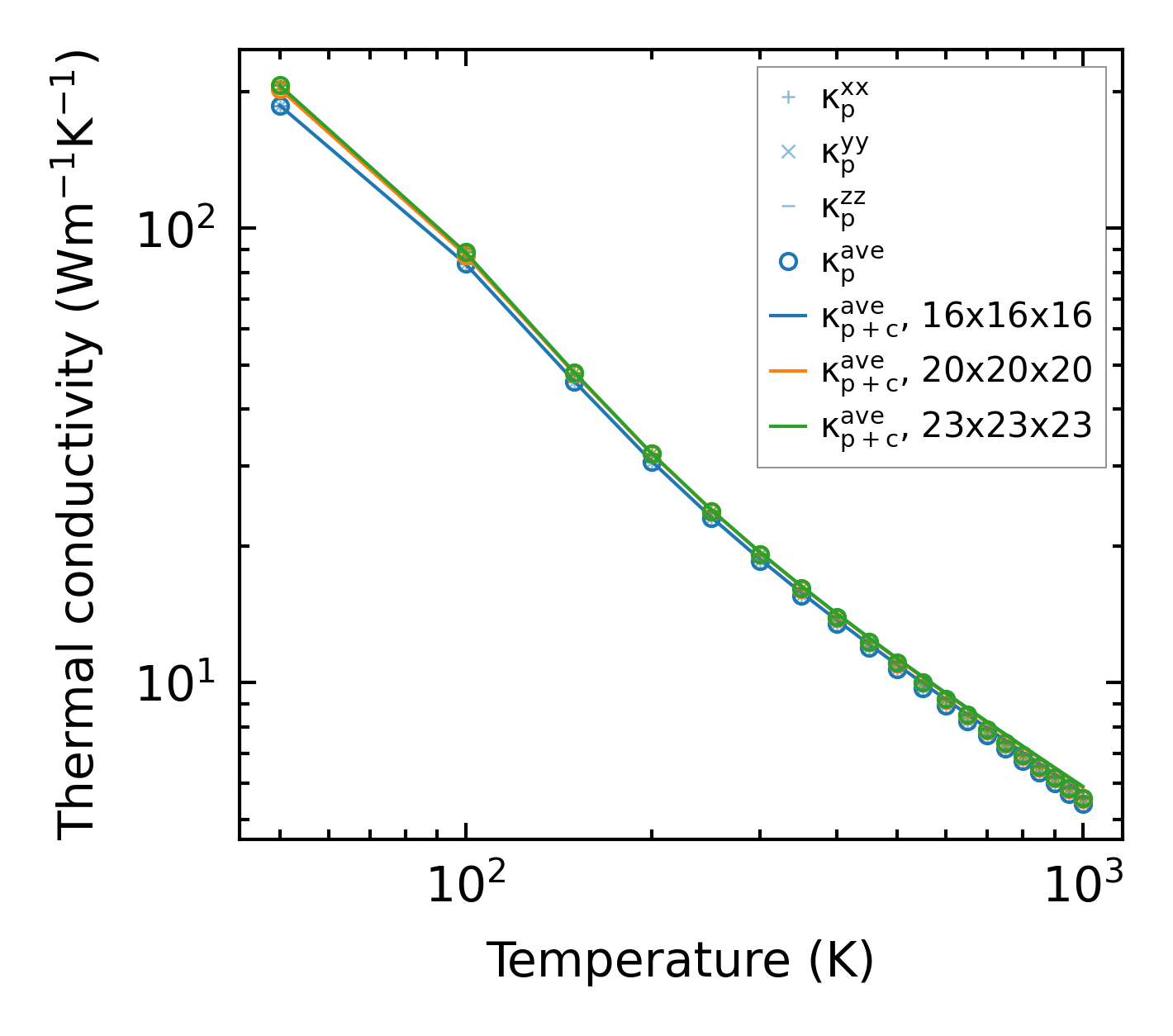
3-phonon (LASSO) — q-mesh: 23x23x23, supercell: 2x2x2

../../_images/fig_kappa3786.png

(a) Temperature-dependent lattice thermal conductivity

../../_images/fig_kappa_vs_grain_size2003.png

(b) Peierls lattice thermal conductivity w.r.t grain size

Phonon lifetime and scattering rates

../../_images/fig_lifetime1965.png

(a) Phonon lifetime due to phonon-phonon scattering

../../_images/fig_scat_rates1964.png

(b) Phonon scattering rates

Cumulative and spectral thermal conductivity

../../_images/fig_cumu_frequency1965.png

(a) Spectral and cumulative thermal conductivity w.r.t frequency

../../_images/fig_cumu_mfp1965.png

(b) Spectral and cumulative thermal conductivity w.r.t MFP

Force constants

../../_images/fig_fc24390.png

(a) Force constants w.r.t atomic distance

Summary

../../_images/fig_kappa3787.png

(a) Temperature-dependent lattice thermal conductivity

../../_images/fig_times8155.png

(b) Computation time