mp-7848-2/AlPO4/harm

Equation of state

../../_images/fig_bm2178.png

(a) Equation of state

Harmonic properties

../../_images/fig_bandos_pr4341.png

(a) Phonon dispersion with participation ratio and DOS

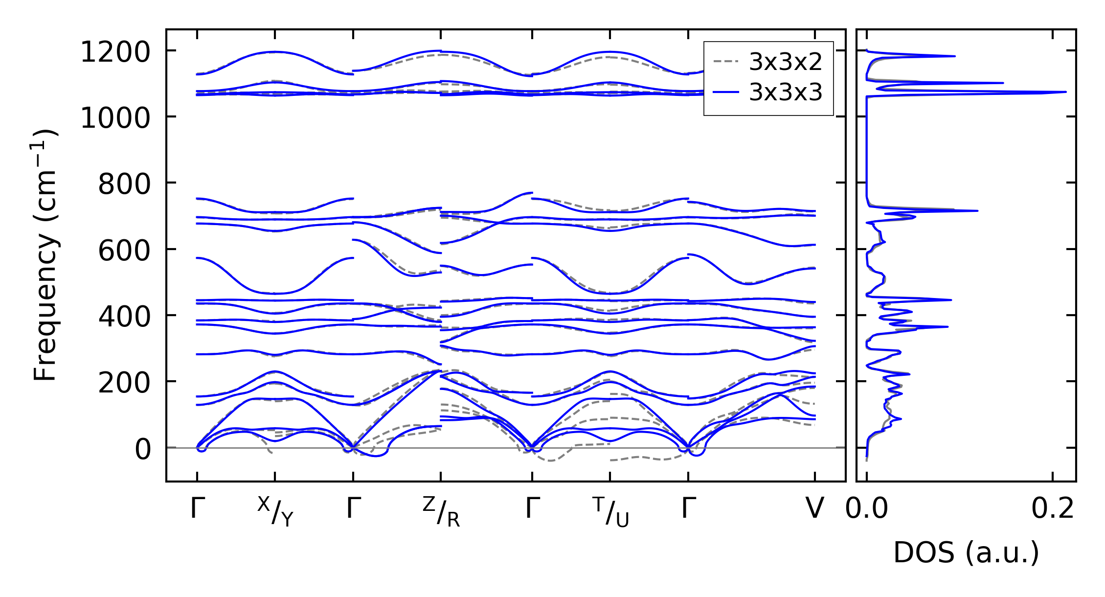
../../_images/fig_bandos6112.png

(b) Phonon dispersion and DOS

../../_images/fig_thermo4341.png

(c) Thermodynamic properties

Force constants

../../_images/fig_fc24154.png

(a) Force constants w.r.t atomic distance

Summary

../../_images/fig_times7760.png

(a) Computation time