mp-7173/ScSbPt/anharm

Harmonic properties

../../_images/fig_bandos_pr4819.png

(a) Phonon dispersion with participation ratio and DOS

../../_images/fig_thermo4819.png

(b) Thermodynamic properties

Grüneisen parameters

../../_images/fig_gru_all2078.png

(a) Grüneisen parameters

../../_images/fig_gruneisen2078.png

(b) Phonon dispersion with Grüneisen parameters

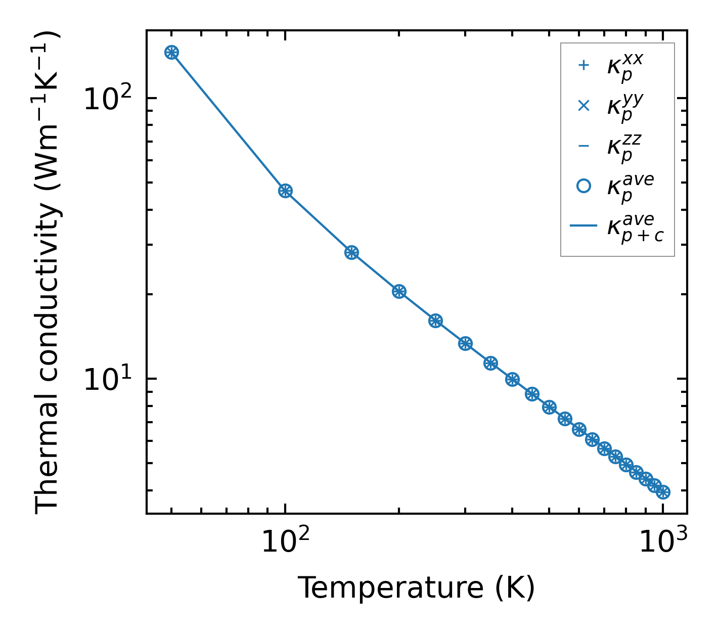
Thermal conductivity

3-phonon — q-mesh: 18x18x18, supercell: 2x2x2

../../_images/fig_kappa3985.png

(a) Temperature-dependent lattice thermal conductivity

../../_images/fig_kappa_vs_grain_size2109.png

(b) Peierls lattice thermal conductivity w.r.t grain size

Phonon lifetime and scattering rates

../../_images/fig_lifetime2065.png

(a) Phonon lifetime due to phonon-phonon scattering

../../_images/fig_scat_rates2064.png

(b) Phonon scattering rates

Cumulative and spectral thermal conductivity

../../_images/fig_cumu_frequency2065.png

(a) Spectral and cumulative thermal conductivity w.r.t frequency

../../_images/fig_cumu_mfp2065.png

(b) Spectral and cumulative thermal conductivity w.r.t MFP

Force constants

../../_images/fig_fc3189.png

(a) Force constants w.r.t atomic distance

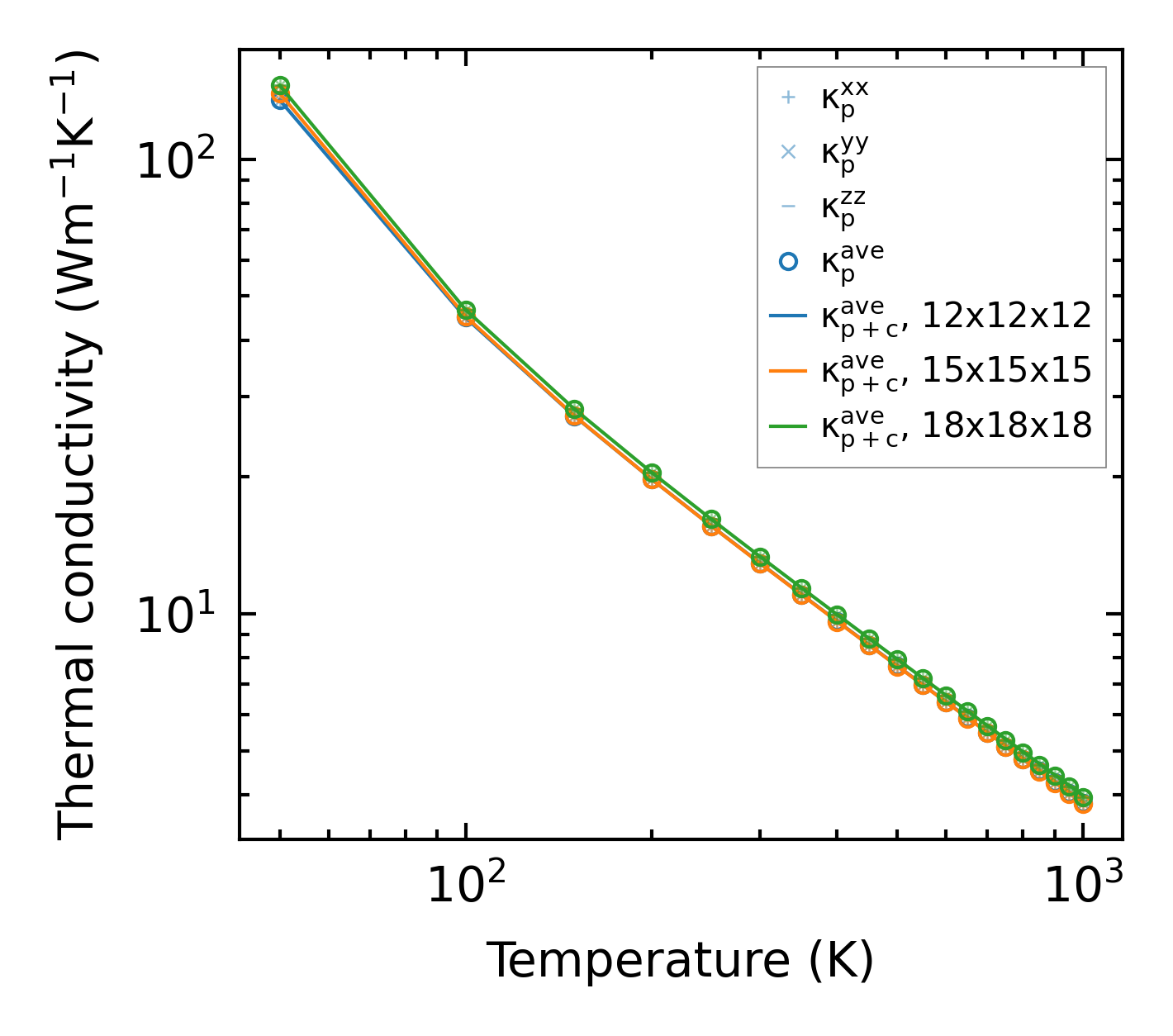
Summary

../../_images/fig_kappa3986.png

(a) Temperature-dependent lattice thermal conductivity

../../_images/fig_times8526.png

(b) Computation time