mp-7714-2/Li4UO5/anharm

Equation of state

../../_images/fig_bm2317.png

(a) Equation of state

Harmonic properties

../../_images/fig_bandos_pr4637.png

(a) Phonon dispersion with participation ratio and DOS

../../_images/fig_thermo4637.png

(b) Thermodynamic properties

Grüneisen parameters

../../_images/fig_gru_all2008.png

(a) Grüneisen parameters

../../_images/fig_gruneisen2008.png

(b) Phonon dispersion with Grüneisen parameters

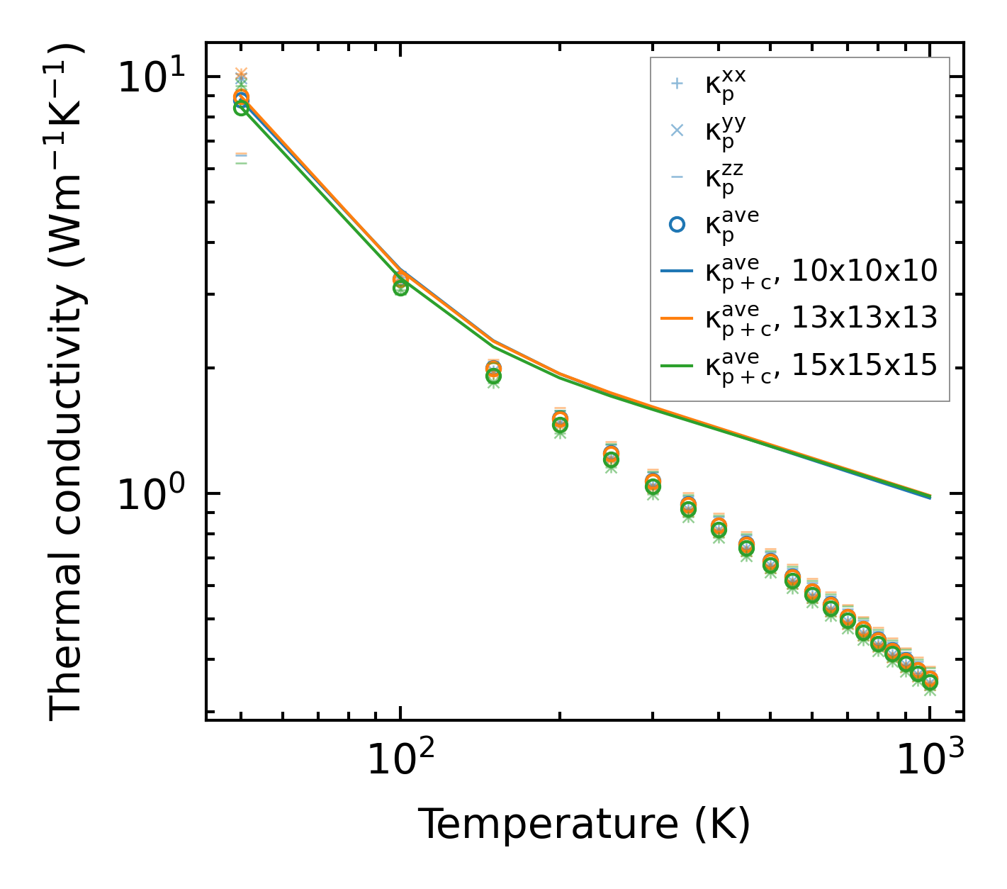
Thermal conductivity

3-phonon (LASSO) — q-mesh: 15x15x15, supercell: 1x1x2

../../_images/fig_kappa3843.png

(a) Temperature-dependent lattice thermal conductivity

../../_images/fig_kappa_vs_grain_size2034.png

(b) Peierls lattice thermal conductivity w.r.t grain size

3-phonon (LASSO), supercell 2x2x2 — q-mesh: 15x15x15, supercell: 2x2x2

../../_images/fig_kappa3844.png

(a) Temperature-dependent lattice thermal conductivity

../../_images/fig_kappa_vs_grain_size2035.png

(b) Peierls lattice thermal conductivity w.r.t grain size

Phonon lifetime and scattering rates

../../_images/fig_lifetime1995.png

(a) Phonon lifetime due to phonon-phonon scattering

../../_images/fig_scat_rates1994.png

(b) Phonon scattering rates

Cumulative and spectral thermal conductivity

../../_images/fig_cumu_frequency1995.png

(a) Spectral and cumulative thermal conductivity w.r.t frequency

../../_images/fig_cumu_mfp1995.png

(b) Spectral and cumulative thermal conductivity w.r.t MFP

Force constants

../../_images/fig_fc24449.png

(a) Force constants w.r.t atomic distance

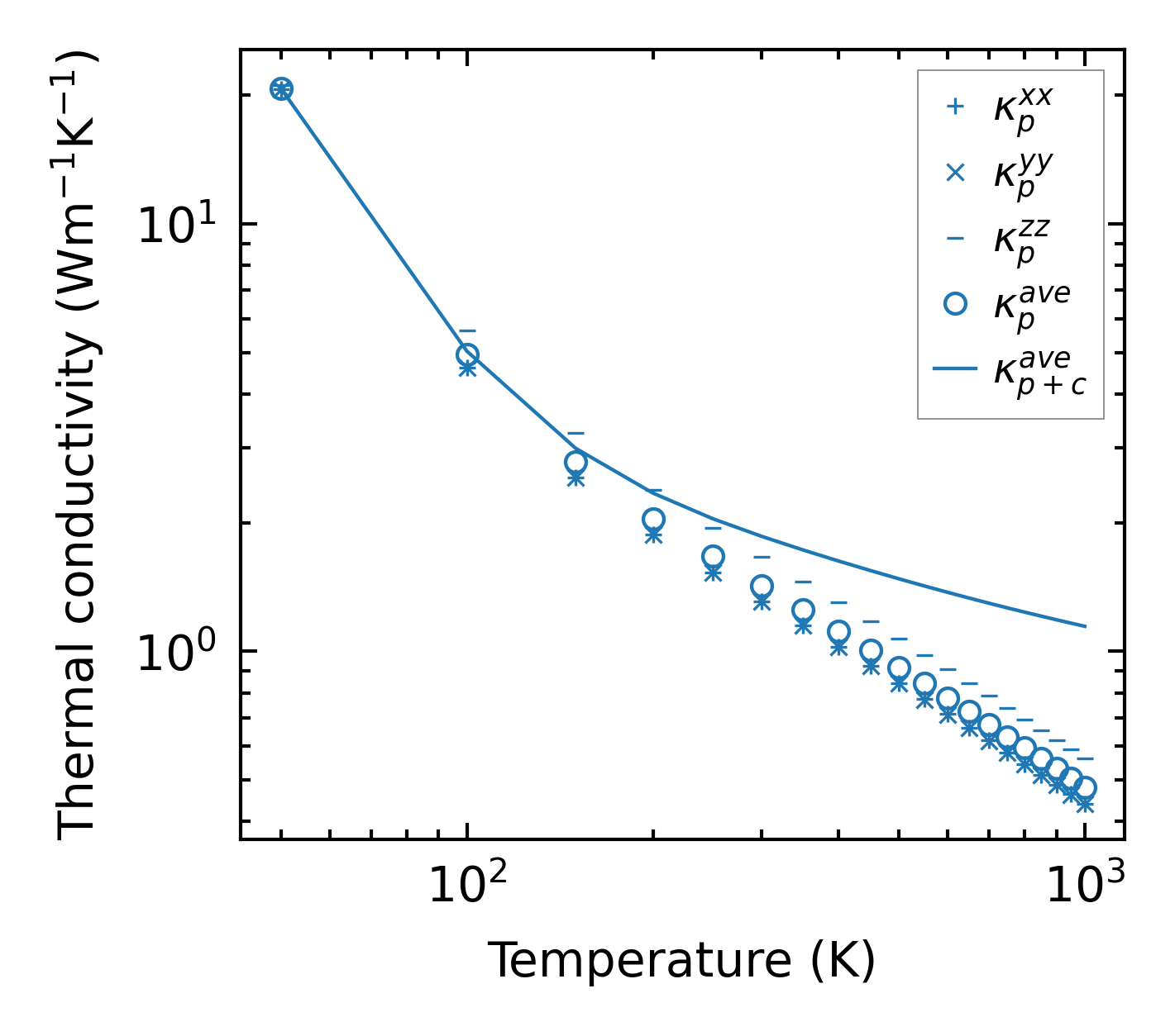
Summary

../../_images/fig_kappa3845.png

(a) Temperature-dependent lattice thermal conductivity

../../_images/fig_times8232.png

(b) Computation time