mp-7323/RbBe2BO3F2/anharm

Equation of state

../../_images/fig_bm2250.png

(a) Equation of state

Harmonic properties

../../_images/fig_bandos_pr4511.png

(a) Phonon dispersion with participation ratio and DOS

../../_images/fig_thermo4511.png

(b) Thermodynamic properties

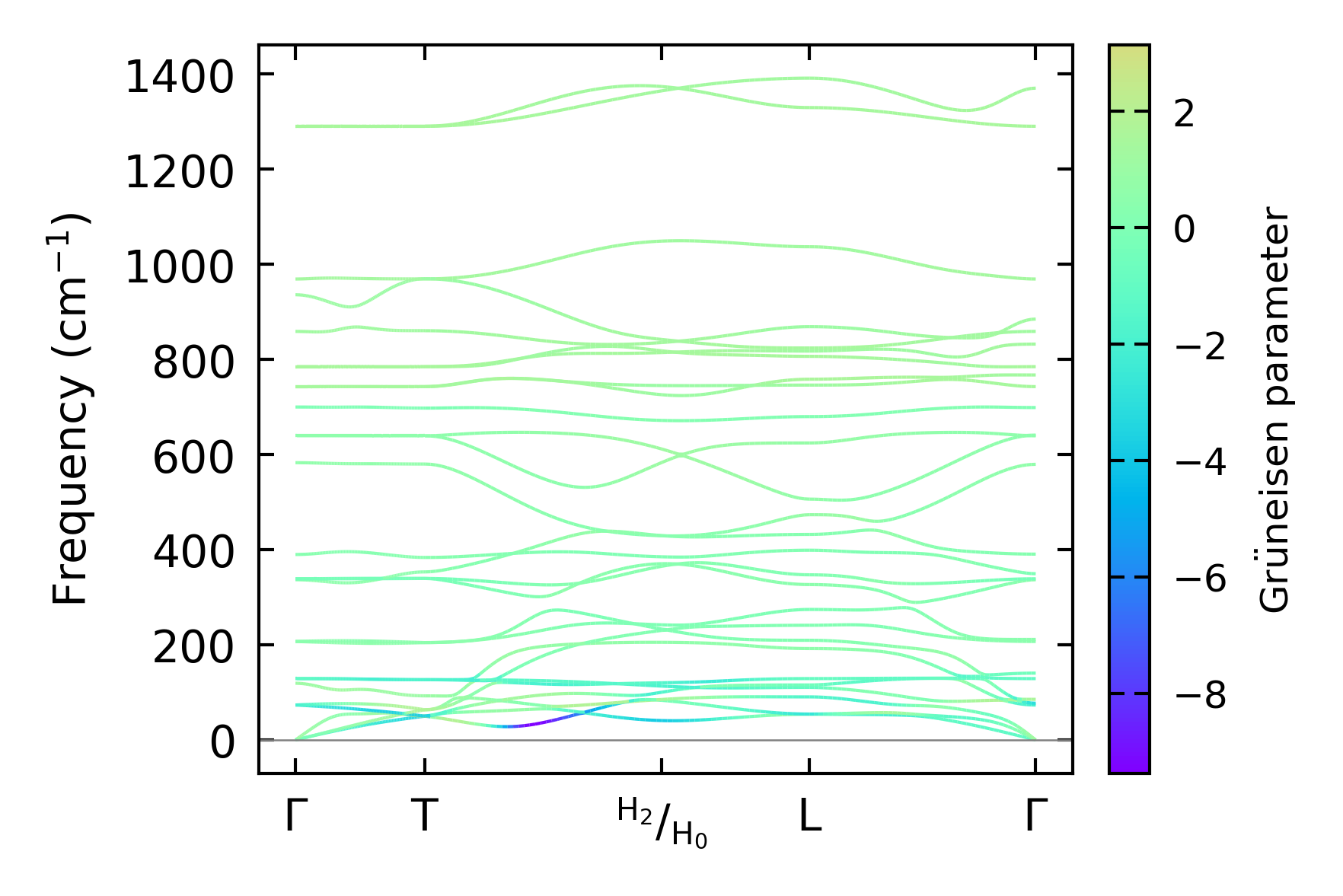
Grüneisen parameters

../../_images/fig_gru_all1933.png

(a) Grüneisen parameters

../../_images/fig_gruneisen1933.png

(b) Phonon dispersion with Grüneisen parameters

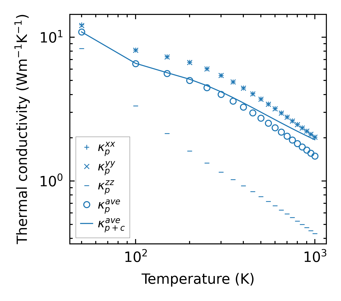
Thermal conductivity

3-phonon (LASSO) — q-mesh: 14x14x14, supercell: 2x2x1

../../_images/fig_kappa3701.png

(a) Temperature-dependent lattice thermal conductivity

../../_images/fig_kappa_vs_grain_size1960.png

(b) Peierls lattice thermal conductivity w.r.t grain size

Phonon lifetime and scattering rates

../../_images/fig_lifetime1922.png

(a) Phonon lifetime due to phonon-phonon scattering

../../_images/fig_scat_rates1921.png

(b) Phonon scattering rates

Cumulative and spectral thermal conductivity

../../_images/fig_cumu_frequency1922.png

(a) Spectral and cumulative thermal conductivity w.r.t frequency

../../_images/fig_cumu_mfp1922.png

(b) Spectral and cumulative thermal conductivity w.r.t MFP

Force constants

../../_images/fig_fc24323.png

(a) Force constants w.r.t atomic distance

Summary

../../_images/fig_kappa3702.png

(a) Temperature-dependent lattice thermal conductivity

../../_images/fig_times8050.png

(b) Computation time