mp-7940/KNbSe2/anharm

Equation of state

../../_images/fig_bm2196.png

(a) Equation of state

Harmonic properties

../../_images/fig_bandos_pr4387.png

(a) Phonon dispersion with participation ratio and DOS

../../_images/fig_thermo4387.png

(b) Thermodynamic properties

Grüneisen parameters

../../_images/fig_gru_all1884.png

(a) Grüneisen parameters

../../_images/fig_gruneisen1884.png

(b) Phonon dispersion with Grüneisen parameters

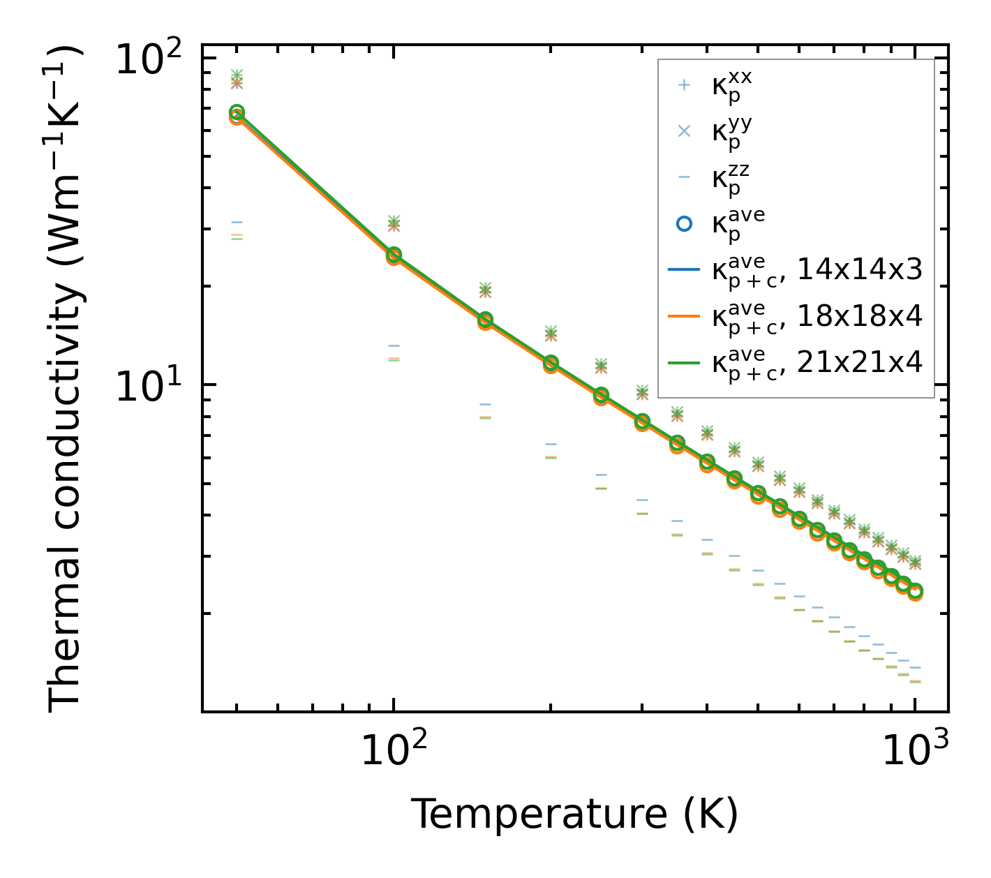
Thermal conductivity

3-phonon (LASSO) — q-mesh: 21x21x4, supercell: 4x4x1

../../_images/fig_kappa3610.png

(a) Temperature-dependent lattice thermal conductivity

../../_images/fig_kappa_vs_grain_size1912.png

(b) Peierls lattice thermal conductivity w.r.t grain size

Phonon lifetime and scattering rates

../../_images/fig_lifetime1874.png

(a) Phonon lifetime due to phonon-phonon scattering

../../_images/fig_scat_rates1873.png

(b) Phonon scattering rates

Cumulative and spectral thermal conductivity

../../_images/fig_cumu_frequency1874.png

(a) Spectral and cumulative thermal conductivity w.r.t frequency

../../_images/fig_cumu_mfp1874.png

(b) Spectral and cumulative thermal conductivity w.r.t MFP

Force constants

../../_images/fig_fc24200.png

(a) Force constants w.r.t atomic distance

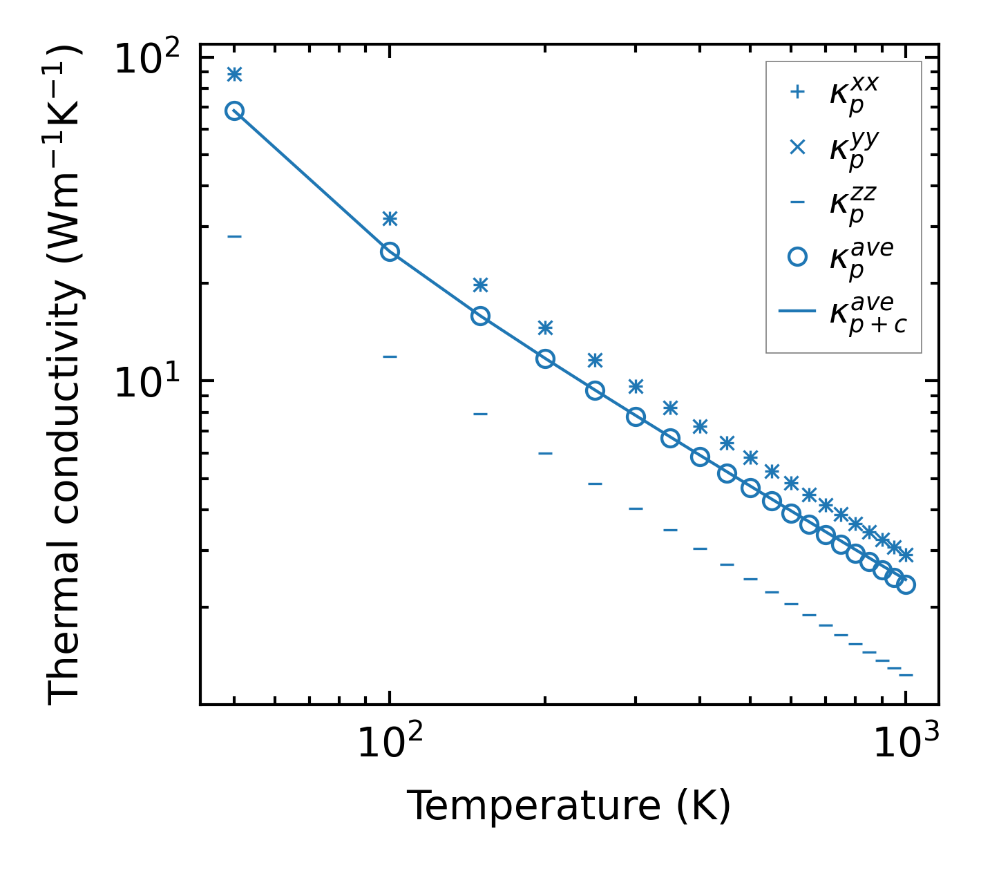
Summary

../../_images/fig_kappa3611.png

(a) Temperature-dependent lattice thermal conductivity

../../_images/fig_times7809.png

(b) Computation time