mp-7008-2/GaAgP2Se6/anharm

Equation of state

../../_images/fig_bm2365.png

(a) Equation of state

Harmonic properties

../../_images/fig_bandos_pr4771.png

(a) Phonon dispersion with participation ratio and DOS

../../_images/fig_thermo4771.png

(b) Thermodynamic properties

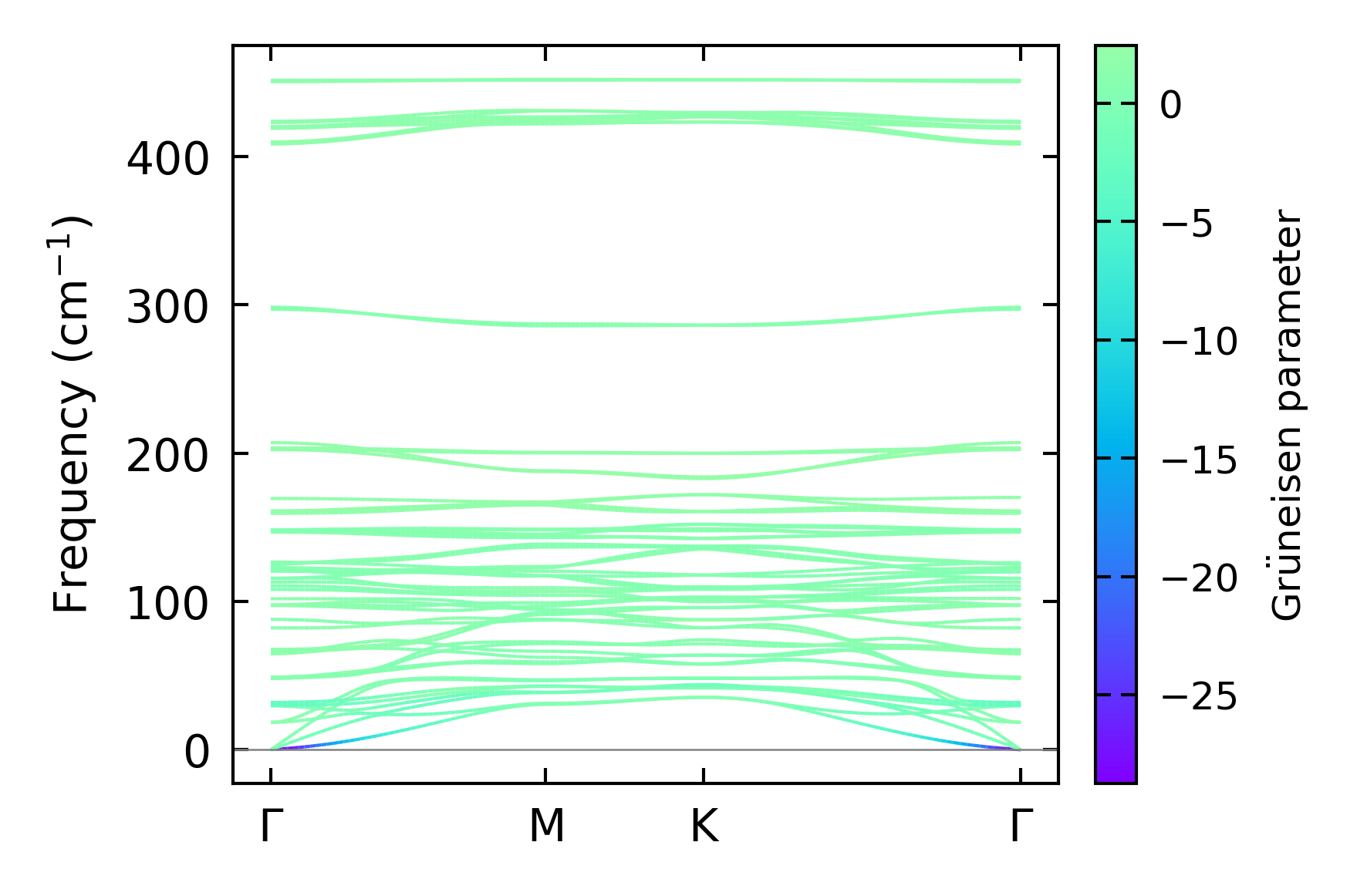
Grüneisen parameters

../../_images/fig_gru_all2051.png

(a) Grüneisen parameters

../../_images/fig_gruneisen2051.png

(b) Phonon dispersion with Grüneisen parameters

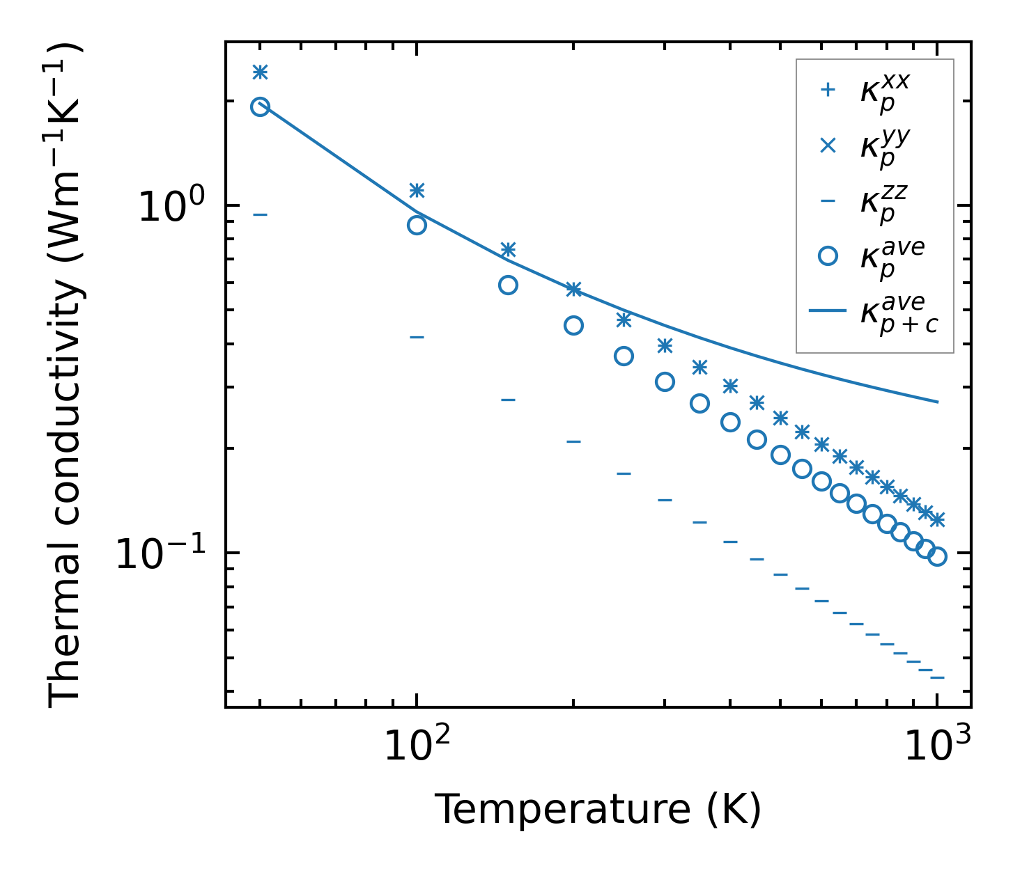
Thermal conductivity

3-phonon (LASSO) — q-mesh: 11x11x5, supercell: 2x2x1

../../_images/fig_kappa3930.png

(a) Temperature-dependent lattice thermal conductivity

../../_images/fig_kappa_vs_grain_size2080.png

(b) Peierls lattice thermal conductivity w.r.t grain size

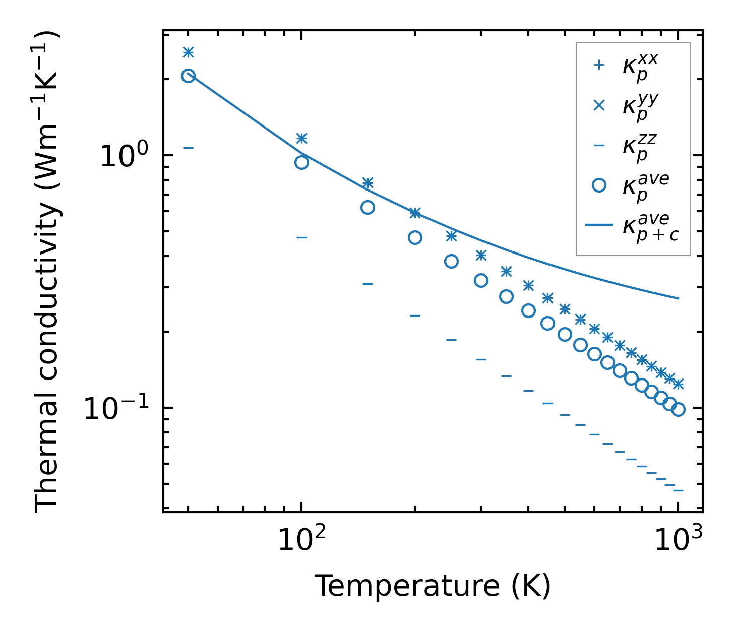
3-phonon (LASSO), supercell 3x3x1 — q-mesh: 11x11x5, supercell: 3x3x1

../../_images/fig_kappa3931.png

(a) Temperature-dependent lattice thermal conductivity

../../_images/fig_kappa_vs_grain_size2081.png

(b) Peierls lattice thermal conductivity w.r.t grain size

Phonon lifetime and scattering rates

../../_images/fig_lifetime2038.png

(a) Phonon lifetime due to phonon-phonon scattering

../../_images/fig_scat_rates2037.png

(b) Phonon scattering rates

Cumulative and spectral thermal conductivity

../../_images/fig_cumu_frequency2038.png

(a) Spectral and cumulative thermal conductivity w.r.t frequency

../../_images/fig_cumu_mfp2038.png

(b) Spectral and cumulative thermal conductivity w.r.t MFP

Force constants

../../_images/fig_fc24582.png

(a) Force constants w.r.t atomic distance

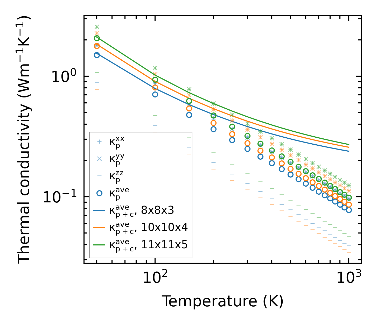
Summary

../../_images/fig_kappa3932.png

(a) Temperature-dependent lattice thermal conductivity

../../_images/fig_times8462.png

(b) Computation time