mp-7191/Sr3GaN3/anharm

Harmonic properties

../../_images/fig_bandos_pr4821.png

(a) Phonon dispersion with participation ratio and DOS

../../_images/fig_thermo4821.png

(b) Thermodynamic properties

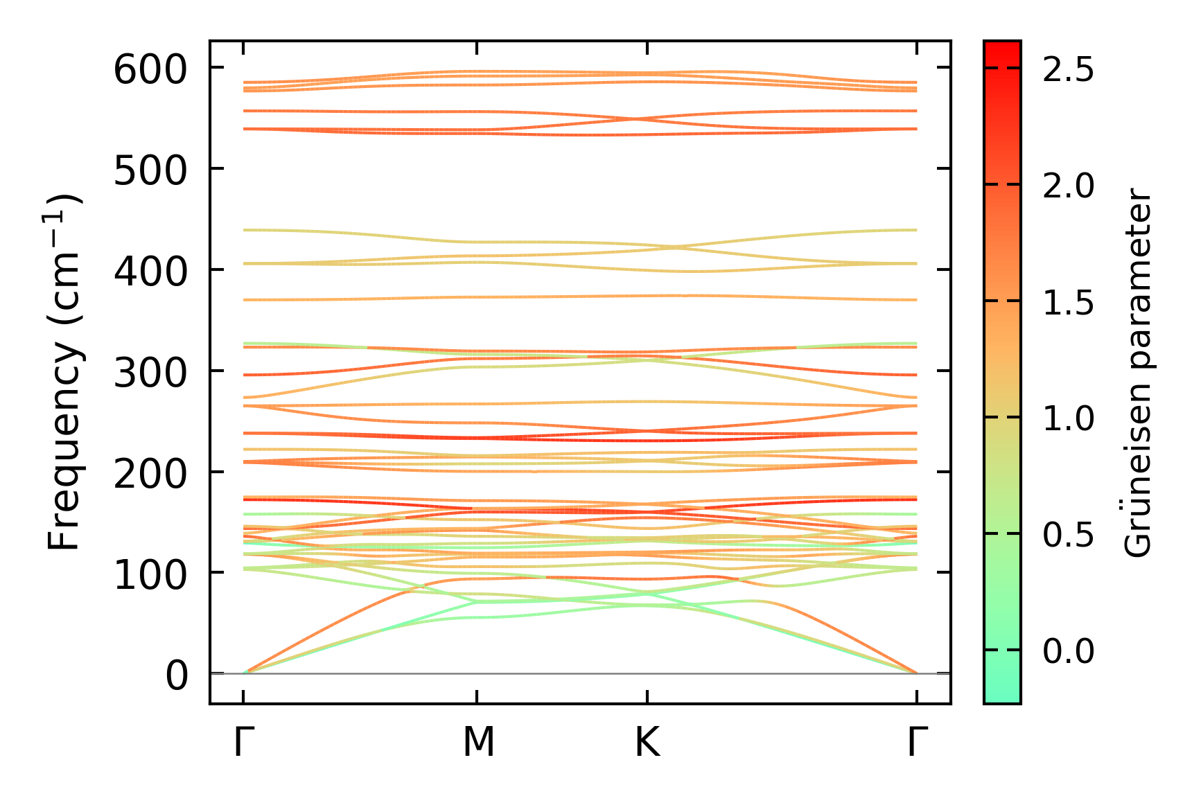
Grüneisen parameters

../../_images/fig_gru_all2080.png

(a) Grüneisen parameters

../../_images/fig_gruneisen2080.png

(b) Phonon dispersion with Grüneisen parameters

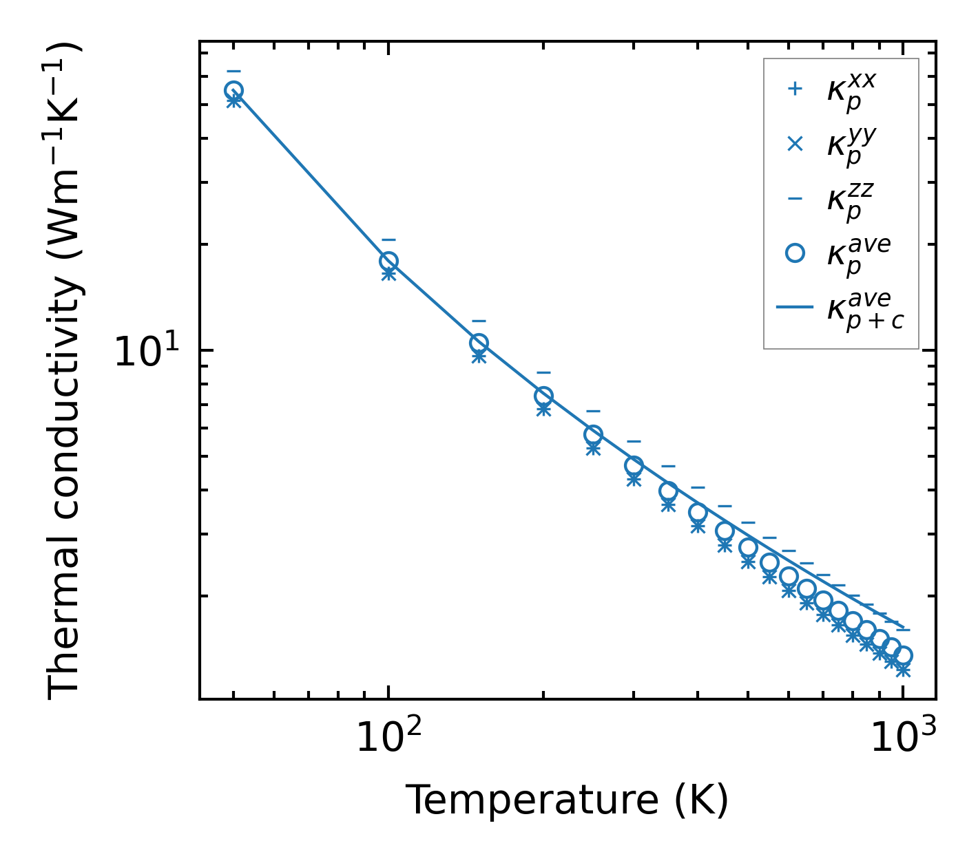
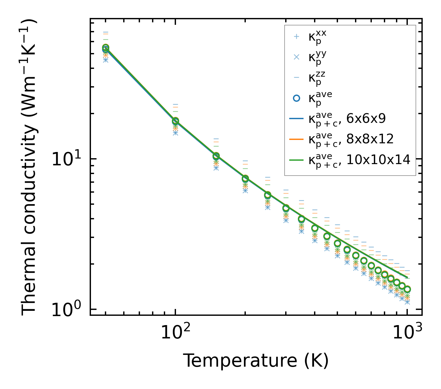
Thermal conductivity

3-phonon (LASSO) — q-mesh: 10x10x14, supercell: 2x2x2

../../_images/fig_kappa3989.png

(a) Temperature-dependent lattice thermal conductivity

../../_images/fig_kappa_vs_grain_size2111.png

(b) Peierls lattice thermal conductivity w.r.t grain size

Phonon lifetime and scattering rates

../../_images/fig_lifetime2067.png

(a) Phonon lifetime due to phonon-phonon scattering

../../_images/fig_scat_rates2066.png

(b) Phonon scattering rates

Cumulative and spectral thermal conductivity

../../_images/fig_cumu_frequency2067.png

(a) Spectral and cumulative thermal conductivity w.r.t frequency

../../_images/fig_cumu_mfp2067.png

(b) Spectral and cumulative thermal conductivity w.r.t MFP

Force constants

../../_images/fig_fc24630.png

(a) Force constants w.r.t atomic distance

Summary

../../_images/fig_kappa3990.png

(a) Temperature-dependent lattice thermal conductivity

../../_images/fig_times8531.png

(b) Computation time