mp-7955-2/Li3Sb/anharm

Equation of state

../../_images/fig_bm2199.png

(a) Equation of state

Harmonic properties

../../_images/fig_bandos_pr4397.png

(a) Phonon dispersion with participation ratio and DOS

../../_images/fig_bandos6144.png

(b) Phonon dispersion and DOS

../../_images/fig_thermo4397.png

(c) Thermodynamic properties

Grüneisen parameters

../../_images/fig_gru_all1893.png

(a) Grüneisen parameters

../../_images/fig_gruneisen1893.png

(b) Phonon dispersion with Grüneisen parameters

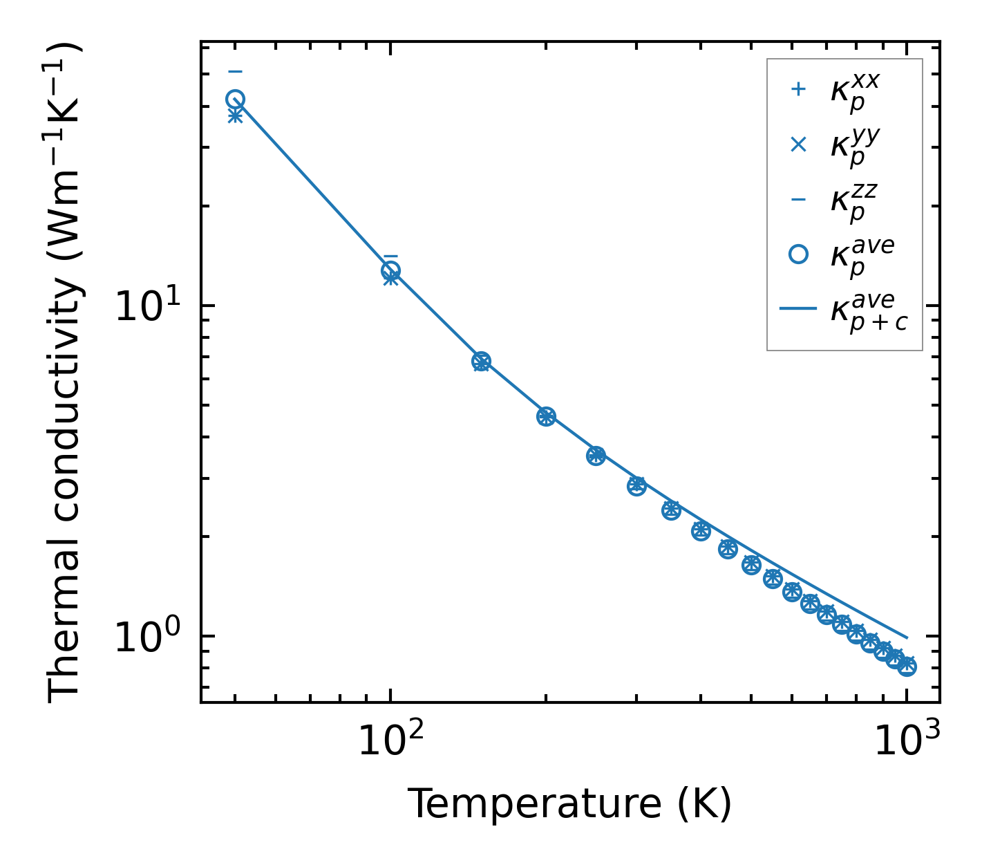
Thermal conductivity

3-phonon (LASSO), supercell 4x4x2 — q-mesh: 16x16x9, supercell: 4x4x2

../../_images/fig_kappa3626.png

(a) Temperature-dependent lattice thermal conductivity

../../_images/fig_kappa_vs_grain_size1920.png

(b) Peierls lattice thermal conductivity w.r.t grain size

Phonon lifetime and scattering rates

../../_images/fig_lifetime1882.png

(a) Phonon lifetime due to phonon-phonon scattering

../../_images/fig_scat_rates1881.png

(b) Phonon scattering rates

Cumulative and spectral thermal conductivity

../../_images/fig_cumu_frequency1882.png

(a) Spectral and cumulative thermal conductivity w.r.t frequency

../../_images/fig_cumu_mfp1882.png

(b) Spectral and cumulative thermal conductivity w.r.t MFP

Force constants

../../_images/fig_fc24210.png

(a) Force constants w.r.t atomic distance

Summary

../../_images/fig_times7820.png

(a) Computation time