mp-7581/MoSe2/anharm

Harmonic properties

../../_images/fig_bandos_pr4579.png

(a) Phonon dispersion with participation ratio and DOS

../../_images/fig_thermo4579.png

(b) Thermodynamic properties

Grüneisen parameters

../../_images/fig_gru_all1977.png

(a) Grüneisen parameters

../../_images/fig_gruneisen1977.png

(b) Phonon dispersion with Grüneisen parameters

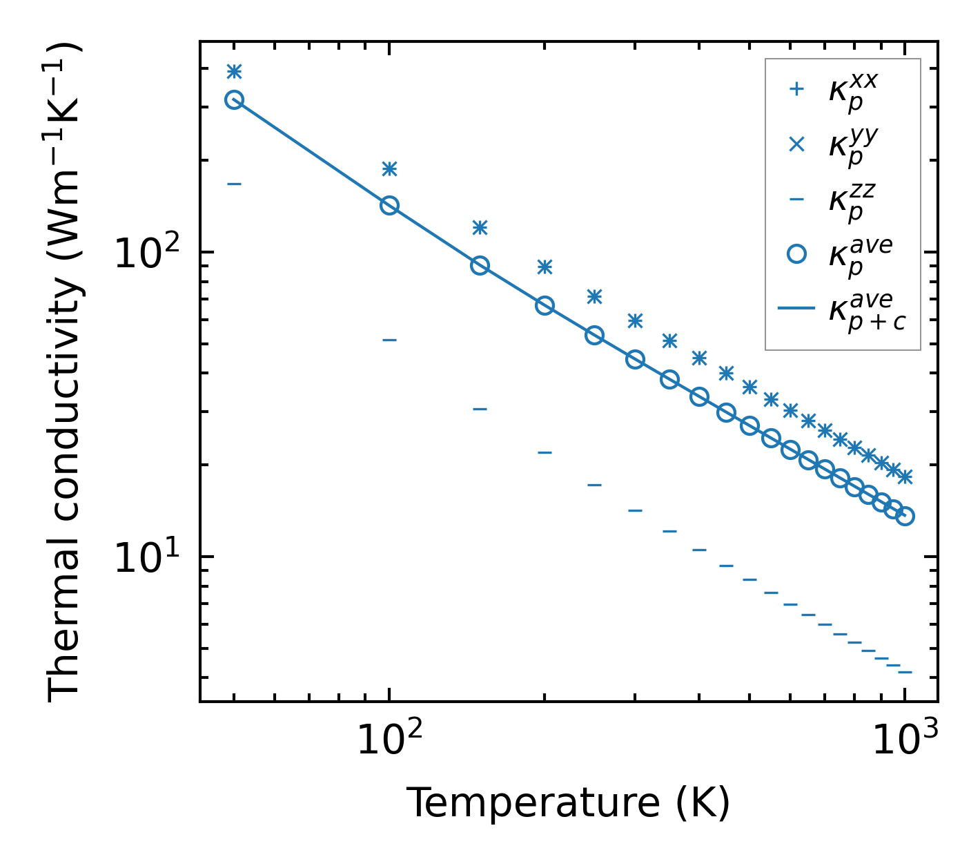
Thermal conductivity

3-phonon (LASSO) — q-mesh: 18x18x18, supercell: 4x4x1

../../_images/fig_kappa3788.png

(a) Temperature-dependent lattice thermal conductivity

../../_images/fig_kappa_vs_grain_size2004.png

(b) Peierls lattice thermal conductivity w.r.t grain size

Phonon lifetime and scattering rates

../../_images/fig_lifetime1966.png

(a) Phonon lifetime due to phonon-phonon scattering

../../_images/fig_scat_rates1965.png

(b) Phonon scattering rates

Cumulative and spectral thermal conductivity

../../_images/fig_cumu_frequency1966.png

(a) Spectral and cumulative thermal conductivity w.r.t frequency

../../_images/fig_cumu_mfp1966.png

(b) Spectral and cumulative thermal conductivity w.r.t MFP

Force constants

../../_images/fig_fc24391.png

(a) Force constants w.r.t atomic distance

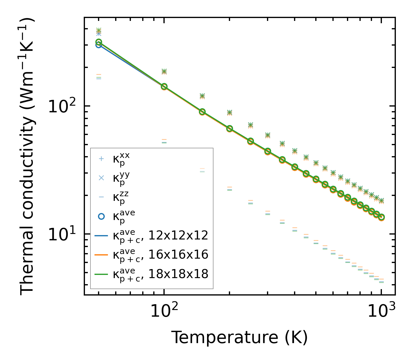
Summary

../../_images/fig_kappa3789.png

(a) Temperature-dependent lattice thermal conductivity

../../_images/fig_times8156.png

(b) Computation time