mp-7582/GeS2/anharm

Equation of state

../../_images/fig_bm2287.png

(a) Equation of state

Harmonic properties

../../_images/fig_bandos_pr4580.png

(a) Phonon dispersion with participation ratio and DOS

../../_images/fig_bandos6405.png

(b) Phonon dispersion and DOS

../../_images/fig_thermo4580.png

(c) Thermodynamic properties

Grüneisen parameters

../../_images/fig_gru_all1978.png

(a) Grüneisen parameters

../../_images/fig_gruneisen1978.png

(b) Phonon dispersion with Grüneisen parameters

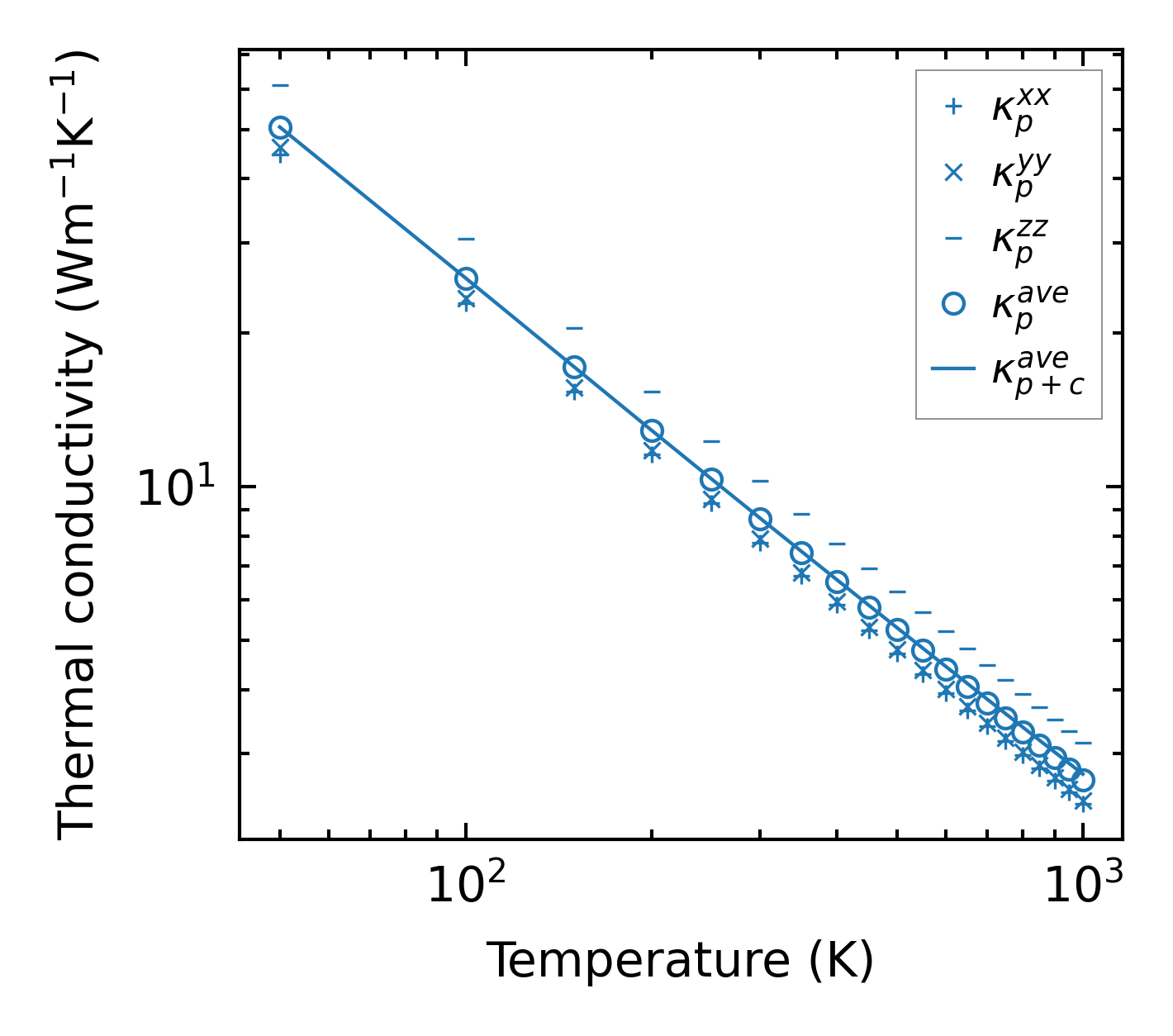
Thermal conductivity

3-phonon (LASSO), supercell 3x3x2 — q-mesh: 13x13x13, supercell: 3x3x2

../../_images/fig_kappa3790.png

(a) Temperature-dependent lattice thermal conductivity

../../_images/fig_kappa_vs_grain_size2005.png

(b) Peierls lattice thermal conductivity w.r.t grain size

Phonon lifetime and scattering rates

../../_images/fig_lifetime1967.png

(a) Phonon lifetime due to phonon-phonon scattering

../../_images/fig_scat_rates1966.png

(b) Phonon scattering rates

Cumulative and spectral thermal conductivity

../../_images/fig_cumu_frequency1967.png

(a) Spectral and cumulative thermal conductivity w.r.t frequency

../../_images/fig_cumu_mfp1967.png

(b) Spectral and cumulative thermal conductivity w.r.t MFP

Force constants

../../_images/fig_fc24392.png

(a) Force constants w.r.t atomic distance

Summary

../../_images/fig_times8157.png

(a) Computation time