mp-7214/Sr3CrN4/anharm

Harmonic properties

../../_images/fig_bandos_pr4484.png

(a) Phonon dispersion with participation ratio and DOS

../../_images/fig_thermo4484.png

(b) Thermodynamic properties

Grüneisen parameters

../../_images/fig_gru_all1919.png

(a) Grüneisen parameters

../../_images/fig_gruneisen1919.png

(b) Phonon dispersion with Grüneisen parameters

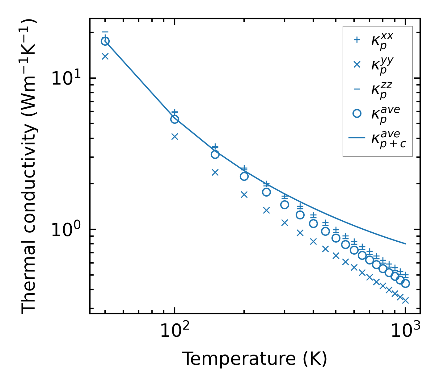
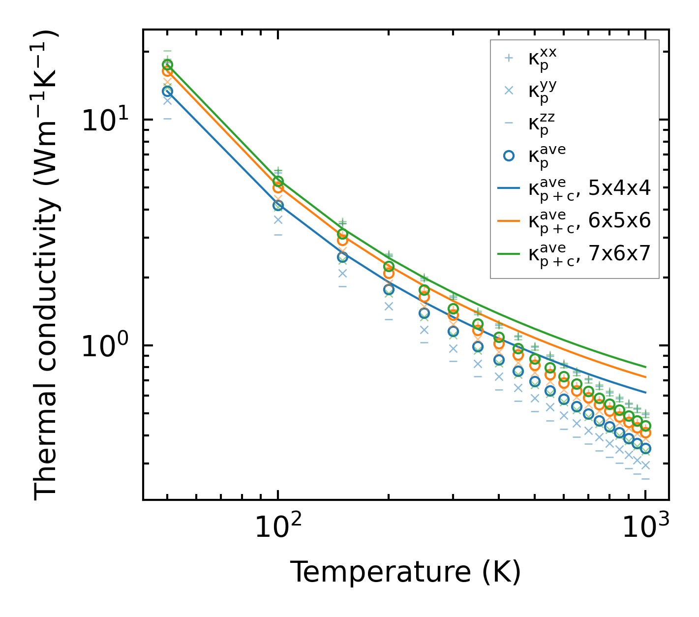
Thermal conductivity

3-phonon (LASSO) — q-mesh: 7x6x7, supercell: 2x1x1

../../_images/fig_kappa3675.png

(a) Temperature-dependent lattice thermal conductivity

../../_images/fig_kappa_vs_grain_size1946.png

(b) Peierls lattice thermal conductivity w.r.t grain size

Phonon lifetime and scattering rates

../../_images/fig_lifetime1908.png

(a) Phonon lifetime due to phonon-phonon scattering

../../_images/fig_scat_rates1907.png

(b) Phonon scattering rates

Cumulative and spectral thermal conductivity

../../_images/fig_cumu_frequency1908.png

(a) Spectral and cumulative thermal conductivity w.r.t frequency

../../_images/fig_cumu_mfp1908.png

(b) Spectral and cumulative thermal conductivity w.r.t MFP

Force constants

../../_images/fig_fc24297.png

(a) Force constants w.r.t atomic distance

Summary

../../_images/fig_kappa3676.png

(a) Temperature-dependent lattice thermal conductivity

../../_images/fig_times8015.png

(b) Computation time