mp-7280/PPdS/anharm

Harmonic properties

../../_images/fig_bandos_pr4500.png

(a) Phonon dispersion with participation ratio and DOS

../../_images/fig_thermo4500.png

(b) Thermodynamic properties

Grüneisen parameters

../../_images/fig_gru_all1927.png

(a) Grüneisen parameters

../../_images/fig_gruneisen1927.png

(b) Phonon dispersion with Grüneisen parameters

Thermal conductivity

3-phonon (LASSO) — q-mesh: 5x12x12, supercell: 1x3x2

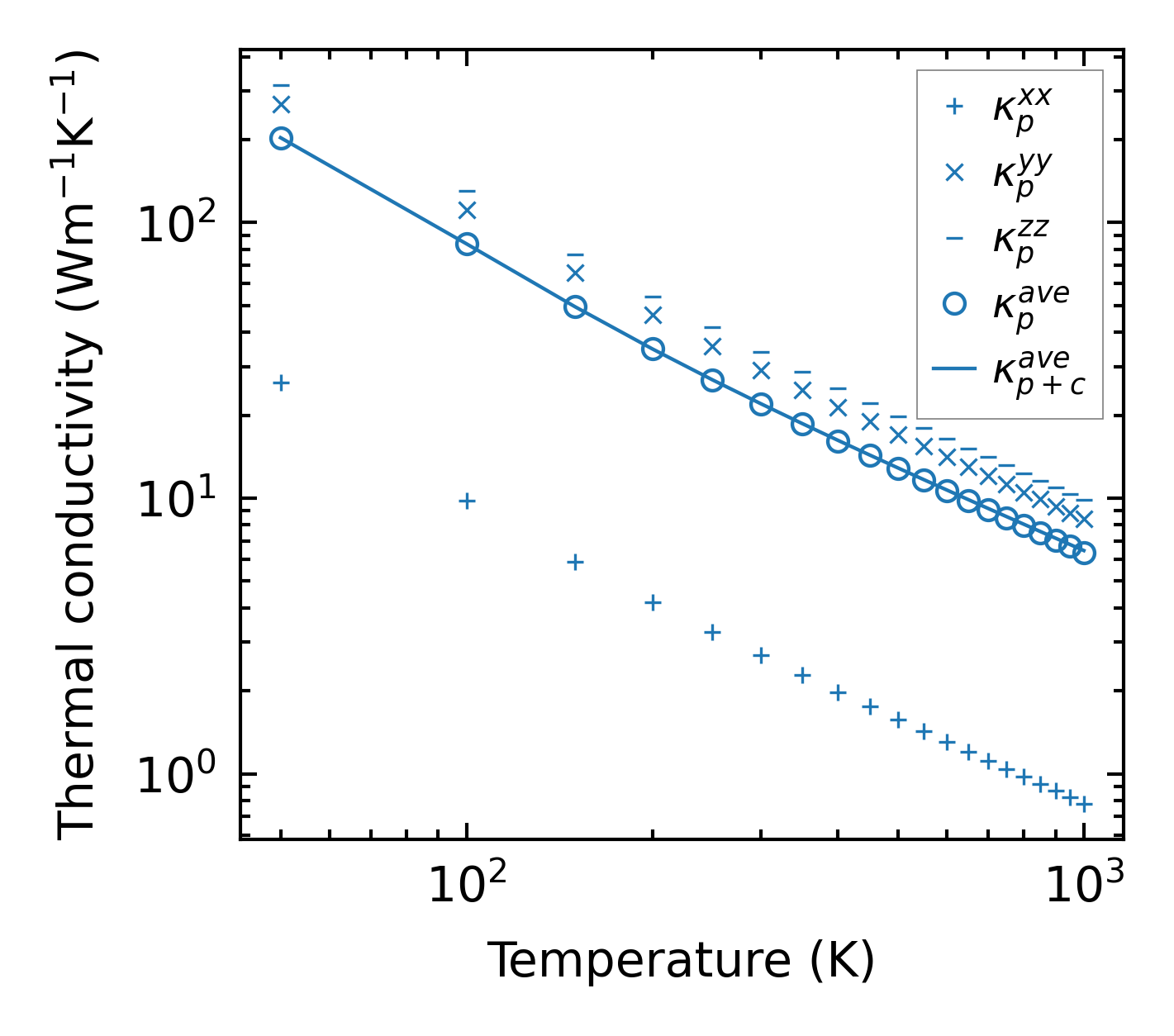
../../_images/fig_kappa3690.png

(a) Temperature-dependent lattice thermal conductivity

../../_images/fig_kappa_vs_grain_size1954.png

(b) Peierls lattice thermal conductivity w.r.t grain size

Phonon lifetime and scattering rates

../../_images/fig_lifetime1916.png

(a) Phonon lifetime due to phonon-phonon scattering

../../_images/fig_scat_rates1915.png

(b) Phonon scattering rates

Cumulative and spectral thermal conductivity

../../_images/fig_cumu_frequency1916.png

(a) Spectral and cumulative thermal conductivity w.r.t frequency

../../_images/fig_cumu_mfp1916.png

(b) Spectral and cumulative thermal conductivity w.r.t MFP

Force constants

../../_images/fig_fc24312.png

(a) Force constants w.r.t atomic distance

Summary

../../_images/fig_kappa3691.png

(a) Temperature-dependent lattice thermal conductivity

../../_images/fig_times8038.png

(b) Computation time