mp-7535/Li5AlO4/anharm

Harmonic properties

../../_images/fig_bandos_pr4570.png

(a) Phonon dispersion with participation ratio and DOS

../../_images/fig_thermo4570.png

(b) Thermodynamic properties

Grüneisen parameters

../../_images/fig_gru_all1970.png

(a) Grüneisen parameters

../../_images/fig_gruneisen1970.png

(b) Phonon dispersion with Grüneisen parameters

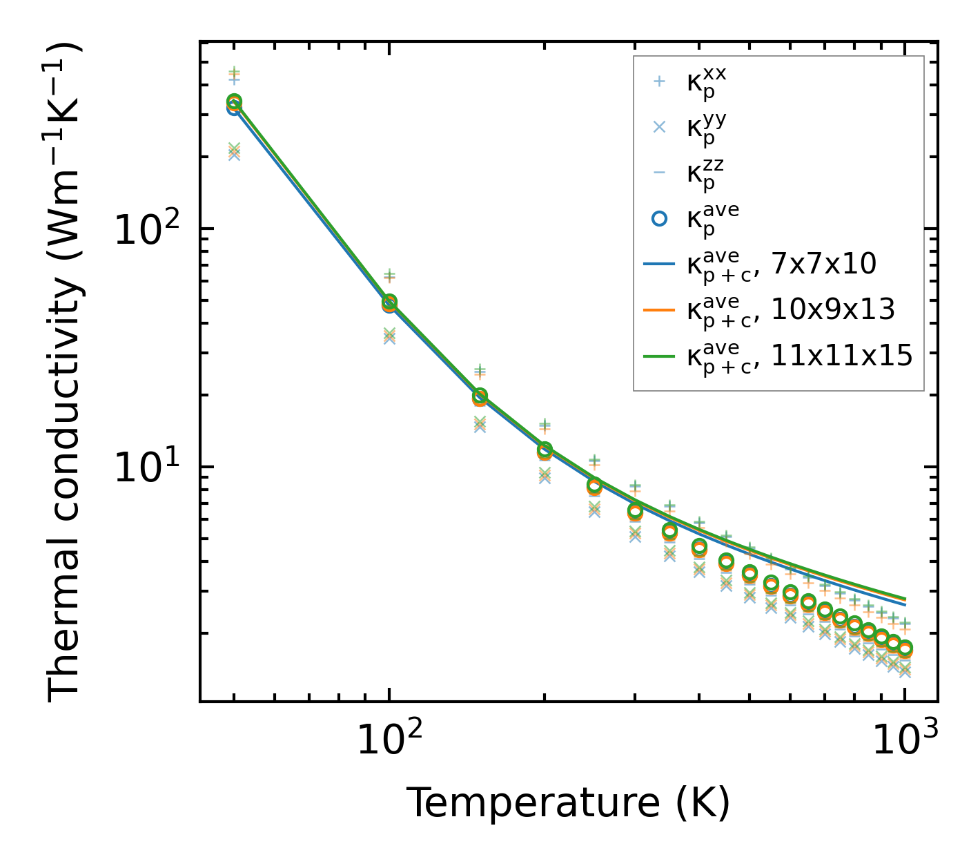
Thermal conductivity

3-phonon (LASSO) — q-mesh: 11x11x15, supercell: 2x1x2

../../_images/fig_kappa3774.png

(a) Temperature-dependent lattice thermal conductivity

../../_images/fig_kappa_vs_grain_size1997.png

(b) Peierls lattice thermal conductivity w.r.t grain size

Phonon lifetime and scattering rates

../../_images/fig_lifetime1959.png

(a) Phonon lifetime due to phonon-phonon scattering

../../_images/fig_scat_rates1958.png

(b) Phonon scattering rates

Cumulative and spectral thermal conductivity

../../_images/fig_cumu_frequency1959.png

(a) Spectral and cumulative thermal conductivity w.r.t frequency

../../_images/fig_cumu_mfp1959.png

(b) Spectral and cumulative thermal conductivity w.r.t MFP

Force constants

../../_images/fig_fc24382.png

(a) Force constants w.r.t atomic distance

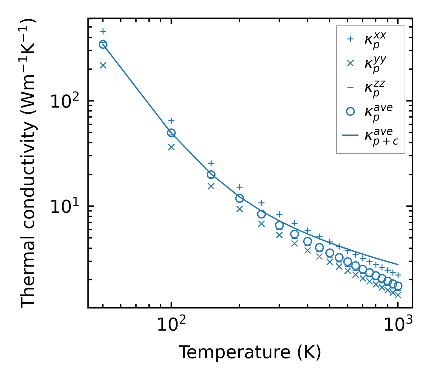
Summary

../../_images/fig_kappa3775.png

(a) Temperature-dependent lattice thermal conductivity

../../_images/fig_times8141.png

(b) Computation time