mp-7825-2/K2GeF6/anharm

Equation of state

../../_images/fig_bm2174.png

(a) Equation of state

Harmonic properties

../../_images/fig_bandos_pr4330.png

(a) Phonon dispersion with participation ratio and DOS

../../_images/fig_bandos6108.png

(b) Phonon dispersion and DOS

../../_images/fig_thermo4330.png

(c) Thermodynamic properties

Grüneisen parameters

../../_images/fig_gru_all1853.png

(a) Grüneisen parameters

../../_images/fig_gruneisen1853.png

(b) Phonon dispersion with Grüneisen parameters

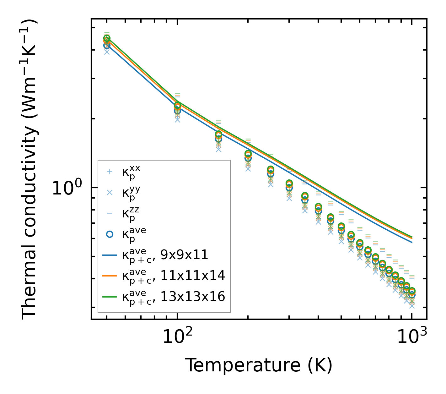
Thermal conductivity

3-phonon (LASSO) — q-mesh: 13x13x16, supercell: 2x2x3

../../_images/fig_kappa3550.png

(a) Temperature-dependent lattice thermal conductivity

../../_images/fig_kappa_vs_grain_size1881.png

(b) Peierls lattice thermal conductivity w.r.t grain size

Phonon lifetime and scattering rates

../../_images/fig_lifetime1843.png

(a) Phonon lifetime due to phonon-phonon scattering

../../_images/fig_scat_rates1842.png

(b) Phonon scattering rates

Cumulative and spectral thermal conductivity

../../_images/fig_cumu_frequency1843.png

(a) Spectral and cumulative thermal conductivity w.r.t frequency

../../_images/fig_cumu_mfp1843.png

(b) Spectral and cumulative thermal conductivity w.r.t MFP

Force constants

../../_images/fig_fc24143.png

(a) Force constants w.r.t atomic distance

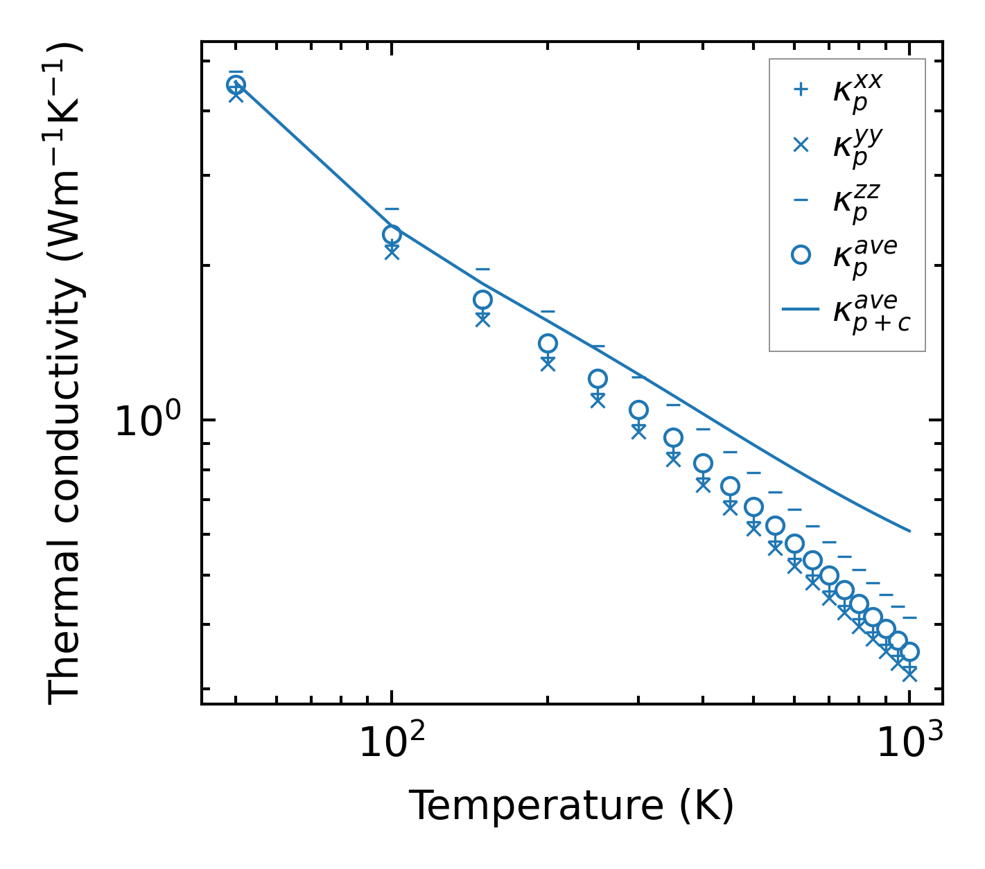
Summary

../../_images/fig_kappa3551.png

(a) Temperature-dependent lattice thermal conductivity

../../_images/fig_times7749.png

(b) Computation time