mp-7041-2/CaHgO2/anharm

Equation of state

../../_images/fig_bm2373.png

(a) Equation of state

Harmonic properties

../../_images/fig_bandos_pr4781.png

(a) Phonon dispersion with participation ratio and DOS

../../_images/fig_thermo4781.png

(b) Thermodynamic properties

Grüneisen parameters

../../_images/fig_gru_all2056.png

(a) Grüneisen parameters

../../_images/fig_gruneisen2056.png

(b) Phonon dispersion with Grüneisen parameters

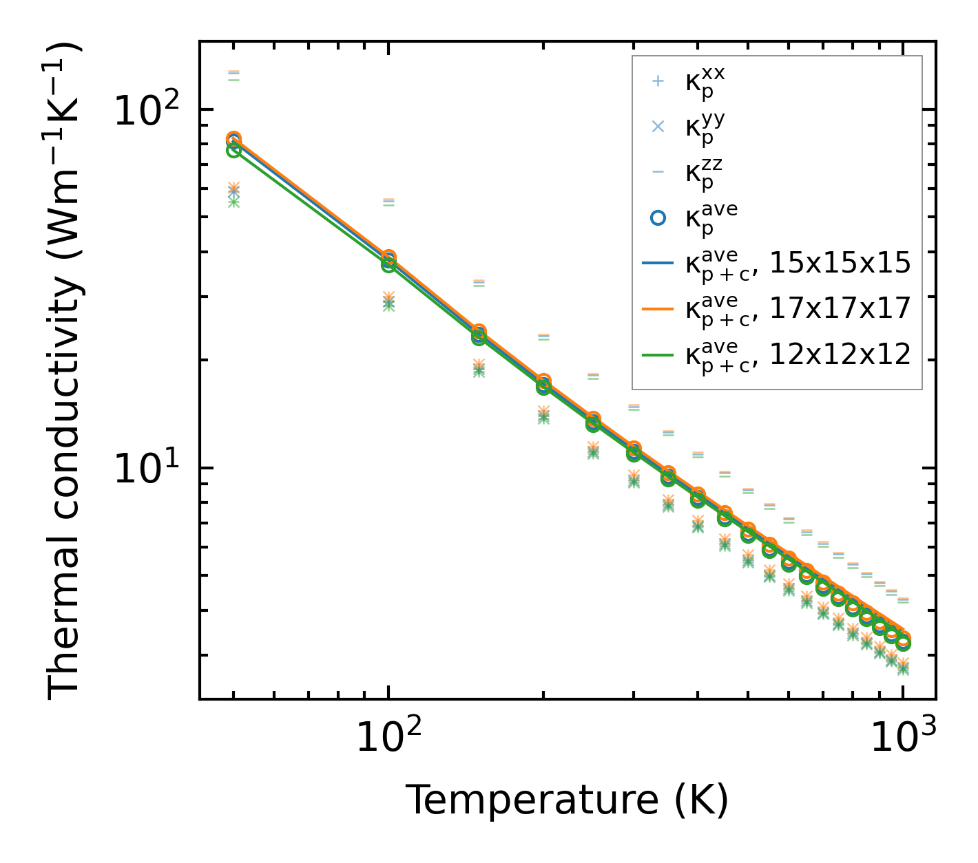
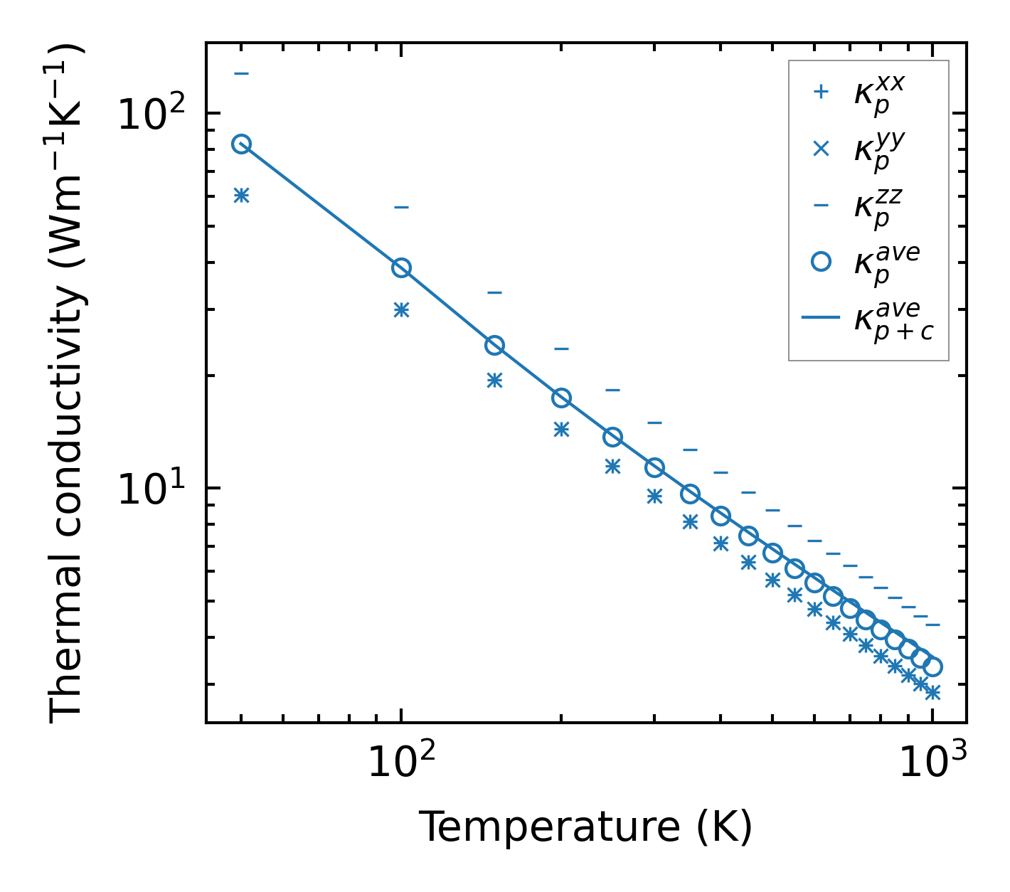
Thermal conductivity

3-phonon (LASSO) — q-mesh: 17x17x17, supercell: 3x3x1

../../_images/fig_kappa3940.png

(a) Temperature-dependent lattice thermal conductivity

../../_images/fig_kappa_vs_grain_size2086.png

(b) Peierls lattice thermal conductivity w.r.t grain size

Phonon lifetime and scattering rates

../../_images/fig_lifetime2043.png

(a) Phonon lifetime due to phonon-phonon scattering

../../_images/fig_scat_rates2042.png

(b) Phonon scattering rates

Cumulative and spectral thermal conductivity

../../_images/fig_cumu_frequency2043.png

(a) Spectral and cumulative thermal conductivity w.r.t frequency

../../_images/fig_cumu_mfp2043.png

(b) Spectral and cumulative thermal conductivity w.r.t MFP

Force constants

../../_images/fig_fc24592.png

(a) Force constants w.r.t atomic distance

Summary

../../_images/fig_kappa3941.png

(a) Temperature-dependent lattice thermal conductivity

../../_images/fig_times8482.png

(b) Computation time