mp-7652/Na5TlO4/anharm

Harmonic properties

../../_images/fig_bandos_pr4620.png

(a) Phonon dispersion with participation ratio and DOS

../../_images/fig_thermo4620.png

(b) Thermodynamic properties

Grüneisen parameters

../../_images/fig_gru_all1998.png

(a) Grüneisen parameters

../../_images/fig_gruneisen1998.png

(b) Phonon dispersion with Grüneisen parameters

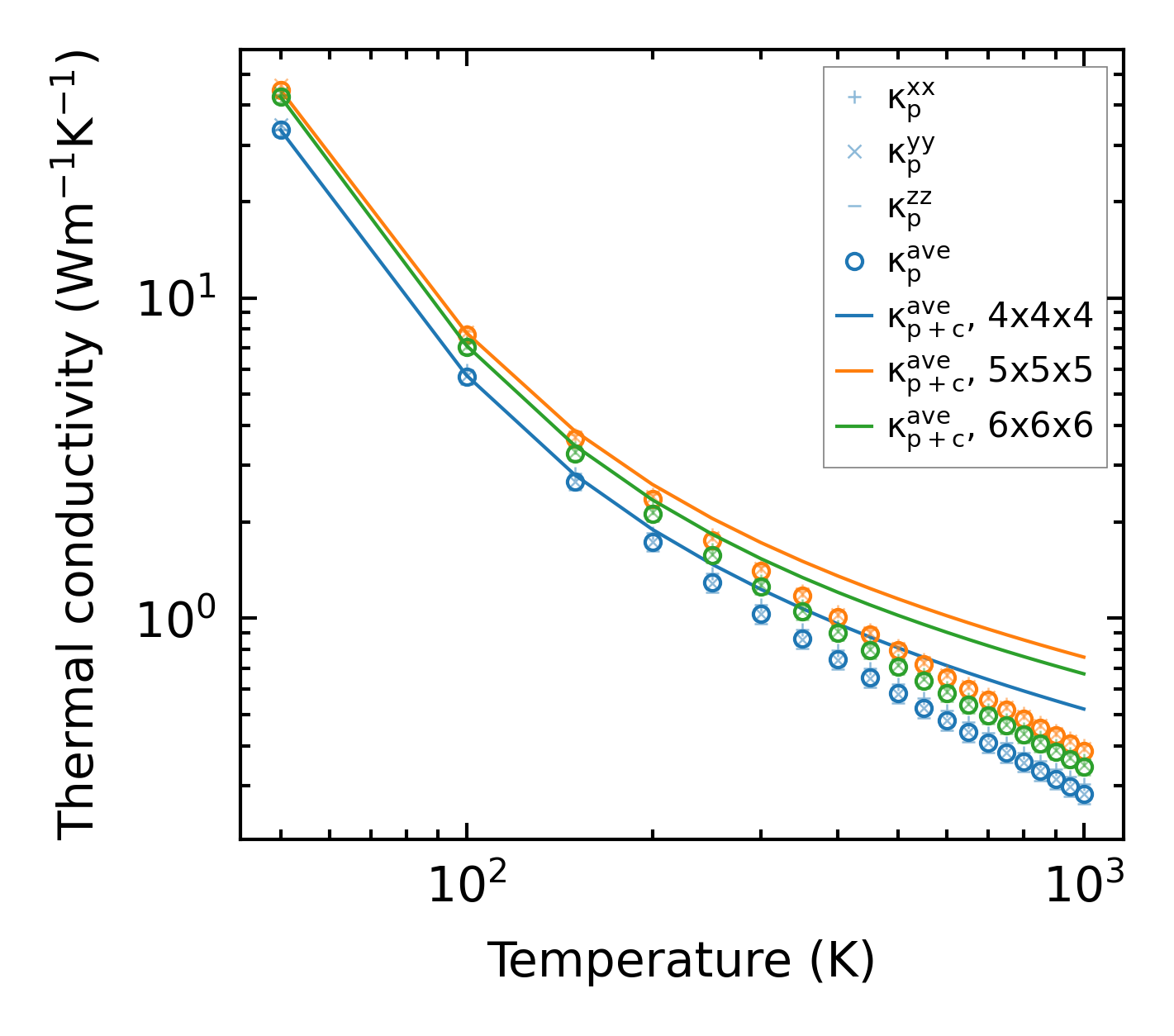
Thermal conductivity

3-phonon (LASSO) — q-mesh: 6x6x6, supercell: 1x1x1

../../_images/fig_kappa3827.png

(a) Temperature-dependent lattice thermal conductivity

../../_images/fig_kappa_vs_grain_size2025.png

(b) Peierls lattice thermal conductivity w.r.t grain size

Phonon lifetime and scattering rates

../../_images/fig_lifetime1987.png

(a) Phonon lifetime due to phonon-phonon scattering

../../_images/fig_scat_rates1986.png

(b) Phonon scattering rates

Cumulative and spectral thermal conductivity

../../_images/fig_cumu_frequency1987.png

(a) Spectral and cumulative thermal conductivity w.r.t frequency

../../_images/fig_cumu_mfp1987.png

(b) Spectral and cumulative thermal conductivity w.r.t MFP

Force constants

../../_images/fig_fc24432.png

(a) Force constants w.r.t atomic distance

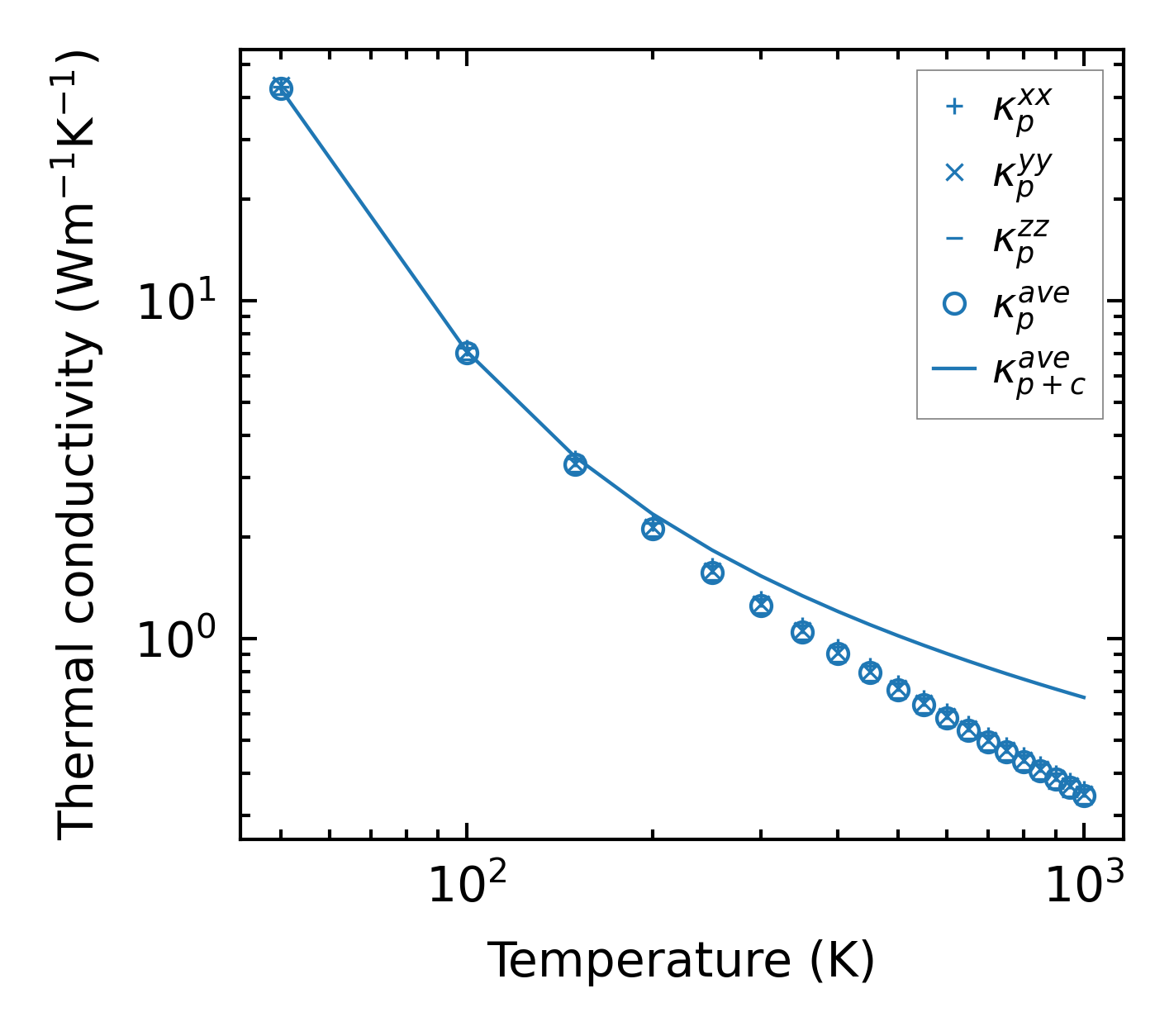
Summary

../../_images/fig_kappa3828.png

(a) Temperature-dependent lattice thermal conductivity

../../_images/fig_times8210.png

(b) Computation time