mp-7903/Cs2ZrF6/anharm

Equation of state

../../_images/fig_bm2187.png

(a) Equation of state

Harmonic properties

../../_images/fig_bandos_pr4359.png

(a) Phonon dispersion with participation ratio and DOS

../../_images/fig_bandos6128.png

(b) Phonon dispersion and DOS

../../_images/fig_thermo4359.png

(c) Thermodynamic properties

Grüneisen parameters

../../_images/fig_gru_all1867.png

(a) Grüneisen parameters

../../_images/fig_gruneisen1867.png

(b) Phonon dispersion with Grüneisen parameters

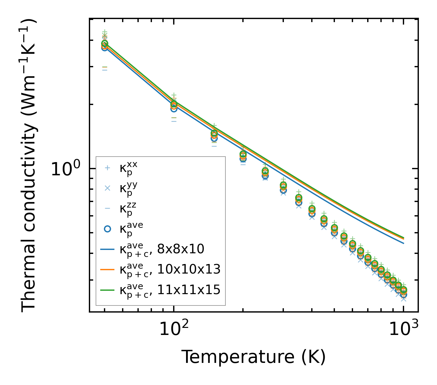
Thermal conductivity

3-phonon (LASSO) — q-mesh: 11x11x15, supercell: 2x2x3

../../_images/fig_kappa3577.png

(a) Temperature-dependent lattice thermal conductivity

../../_images/fig_kappa_vs_grain_size1895.png

(b) Peierls lattice thermal conductivity w.r.t grain size

Phonon lifetime and scattering rates

../../_images/fig_lifetime1857.png

(a) Phonon lifetime due to phonon-phonon scattering

../../_images/fig_scat_rates1856.png

(b) Phonon scattering rates

Cumulative and spectral thermal conductivity

../../_images/fig_cumu_frequency1857.png

(a) Spectral and cumulative thermal conductivity w.r.t frequency

../../_images/fig_cumu_mfp1857.png

(b) Spectral and cumulative thermal conductivity w.r.t MFP

Force constants

../../_images/fig_fc24172.png

(a) Force constants w.r.t atomic distance

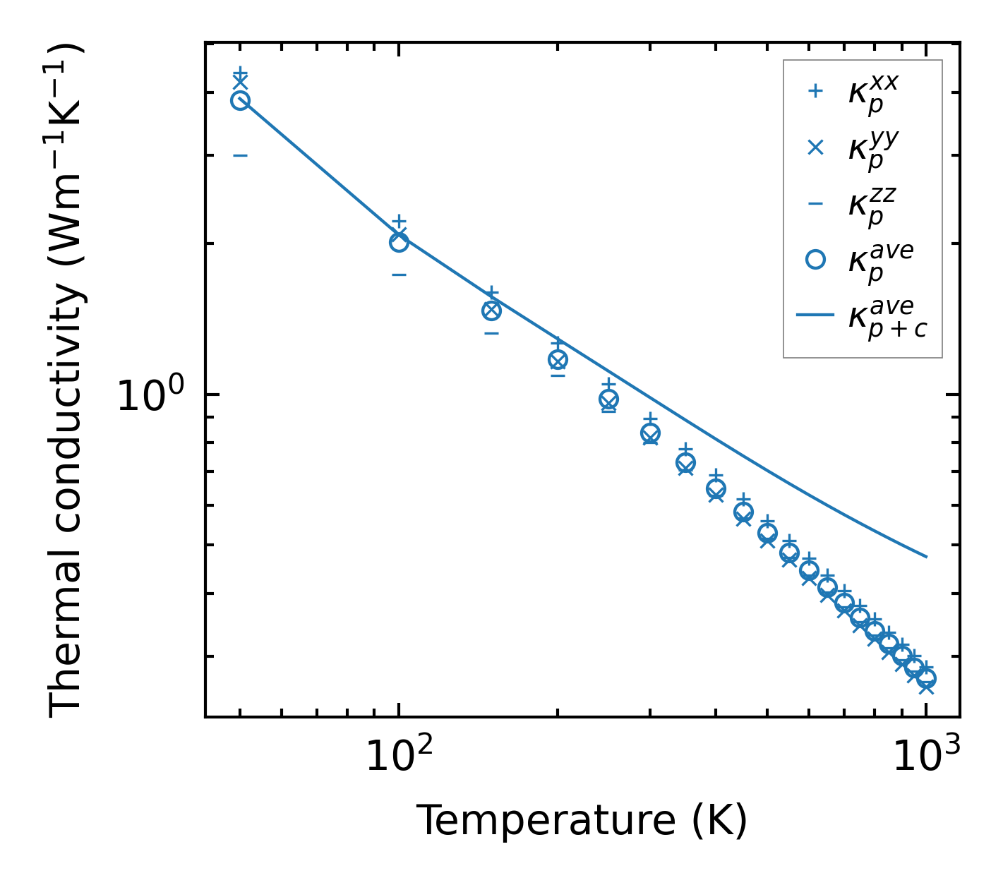
Summary

../../_images/fig_kappa3578.png

(a) Temperature-dependent lattice thermal conductivity

../../_images/fig_times7781.png

(b) Computation time