mp-7137/LiTbO2/anharm

Harmonic properties

../../_images/fig_bandos_pr4809.png

(a) Phonon dispersion with participation ratio and DOS

../../_images/fig_thermo4809.png

(b) Thermodynamic properties

Grüneisen parameters

../../_images/fig_gru_all2074.png

(a) Grüneisen parameters

../../_images/fig_gruneisen2074.png

(b) Phonon dispersion with Grüneisen parameters

Thermal conductivity

3-phonon (LASSO) — q-mesh: 6x21x13, supercell: 1x4x2

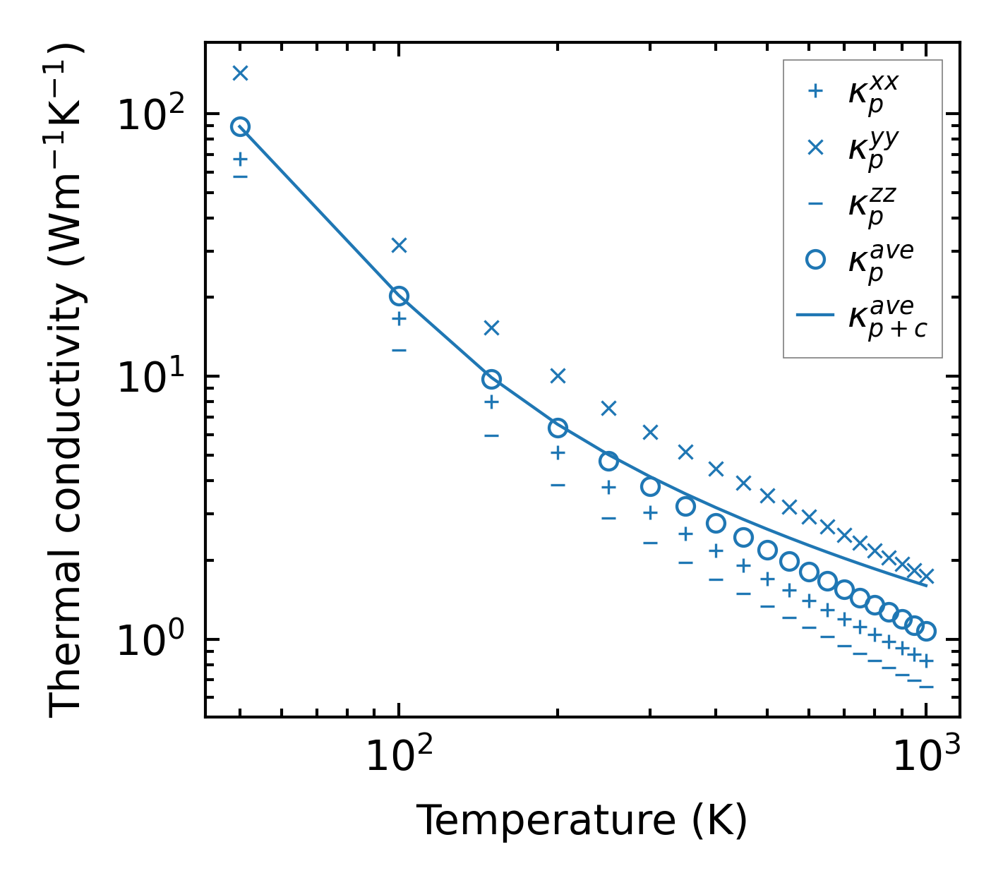
../../_images/fig_kappa3977.png

(a) Temperature-dependent lattice thermal conductivity

../../_images/fig_kappa_vs_grain_size2105.png

(b) Peierls lattice thermal conductivity w.r.t grain size

Phonon lifetime and scattering rates

../../_images/fig_lifetime2061.png

(a) Phonon lifetime due to phonon-phonon scattering

../../_images/fig_scat_rates2060.png

(b) Phonon scattering rates

Cumulative and spectral thermal conductivity

../../_images/fig_cumu_frequency2061.png

(a) Spectral and cumulative thermal conductivity w.r.t frequency

../../_images/fig_cumu_mfp2061.png

(b) Spectral and cumulative thermal conductivity w.r.t MFP

Force constants

../../_images/fig_fc24620.png

(a) Force constants w.r.t atomic distance

Summary

../../_images/fig_kappa3978.png

(a) Temperature-dependent lattice thermal conductivity

../../_images/fig_times8516.png

(b) Computation time