mp-7289-2/K2Te3/anharm

Equation of state

../../_images/fig_bm2244.png

(a) Equation of state

Harmonic properties

../../_images/fig_bandos_pr4502.png

(a) Phonon dispersion with participation ratio and DOS

../../_images/fig_bandos6334.png

(b) Phonon dispersion and DOS

../../_images/fig_thermo4502.png

(c) Thermodynamic properties

Grüneisen parameters

../../_images/fig_gru_all1929.png

(a) Grüneisen parameters

../../_images/fig_gruneisen1929.png

(b) Phonon dispersion with Grüneisen parameters

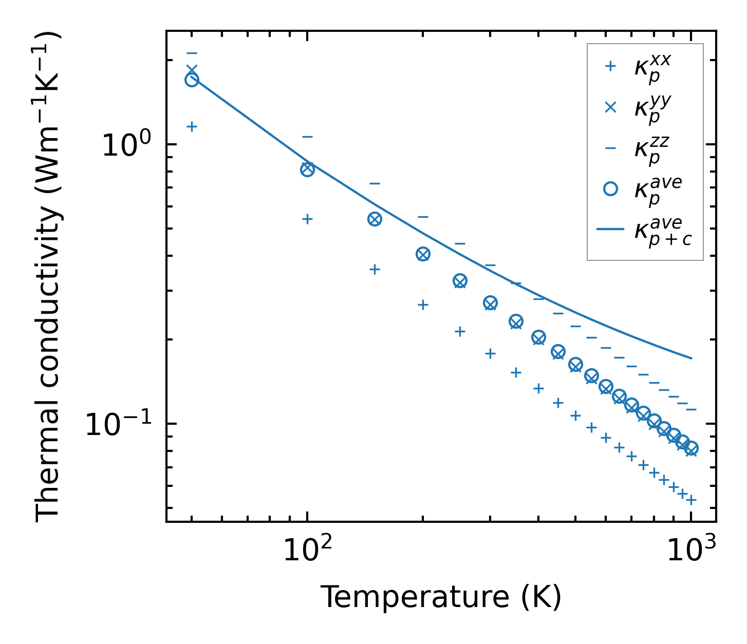
Thermal conductivity

3-phonon (LASSO), supercell 1x2x4 — q-mesh: 4x7x16, supercell: 1x2x4

../../_images/fig_kappa3694.png

(a) Temperature-dependent lattice thermal conductivity

../../_images/fig_kappa_vs_grain_size1956.png

(b) Peierls lattice thermal conductivity w.r.t grain size

Phonon lifetime and scattering rates

../../_images/fig_lifetime1918.png

(a) Phonon lifetime due to phonon-phonon scattering

../../_images/fig_scat_rates1917.png

(b) Phonon scattering rates

Cumulative and spectral thermal conductivity

../../_images/fig_cumu_frequency1918.png

(a) Spectral and cumulative thermal conductivity w.r.t frequency

../../_images/fig_cumu_mfp1918.png

(b) Spectral and cumulative thermal conductivity w.r.t MFP

Force constants

../../_images/fig_fc24314.png

(a) Force constants w.r.t atomic distance

Summary

../../_images/fig_times8041.png

(a) Computation time