mp-7943/LiAs/anharm

Harmonic properties

../../_images/fig_bandos_pr4390.png

(a) Phonon dispersion with participation ratio and DOS

../../_images/fig_thermo4390.png

(b) Thermodynamic properties

Grüneisen parameters

../../_images/fig_gru_all1887.png

(a) Grüneisen parameters

../../_images/fig_gruneisen1887.png

(b) Phonon dispersion with Grüneisen parameters

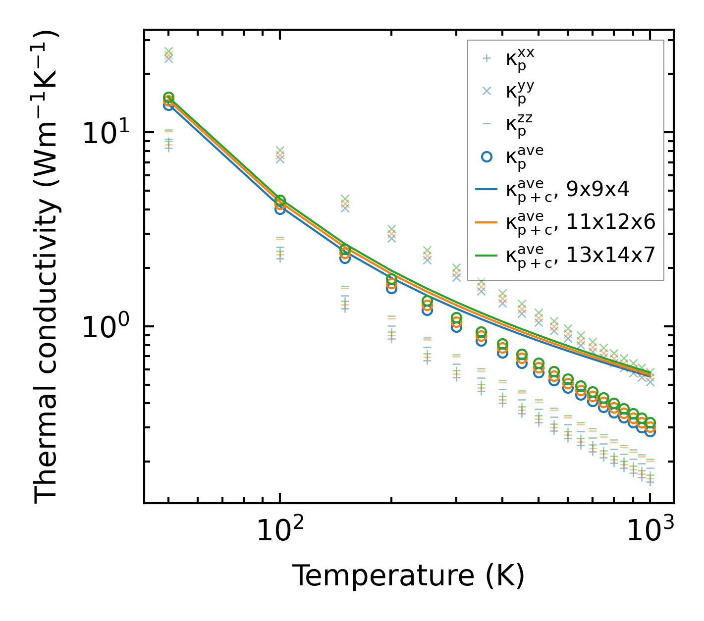
Thermal conductivity

3-phonon (LASSO) — q-mesh: 13x14x7, supercell: 2x3x1

../../_images/fig_kappa3614.png

(a) Temperature-dependent lattice thermal conductivity

../../_images/fig_kappa_vs_grain_size1914.png

(b) Peierls lattice thermal conductivity w.r.t grain size

Phonon lifetime and scattering rates

../../_images/fig_lifetime1876.png

(a) Phonon lifetime due to phonon-phonon scattering

../../_images/fig_scat_rates1875.png

(b) Phonon scattering rates

Cumulative and spectral thermal conductivity

../../_images/fig_cumu_frequency1876.png

(a) Spectral and cumulative thermal conductivity w.r.t frequency

../../_images/fig_cumu_mfp1876.png

(b) Spectral and cumulative thermal conductivity w.r.t MFP

Force constants

../../_images/fig_fc24203.png

(a) Force constants w.r.t atomic distance

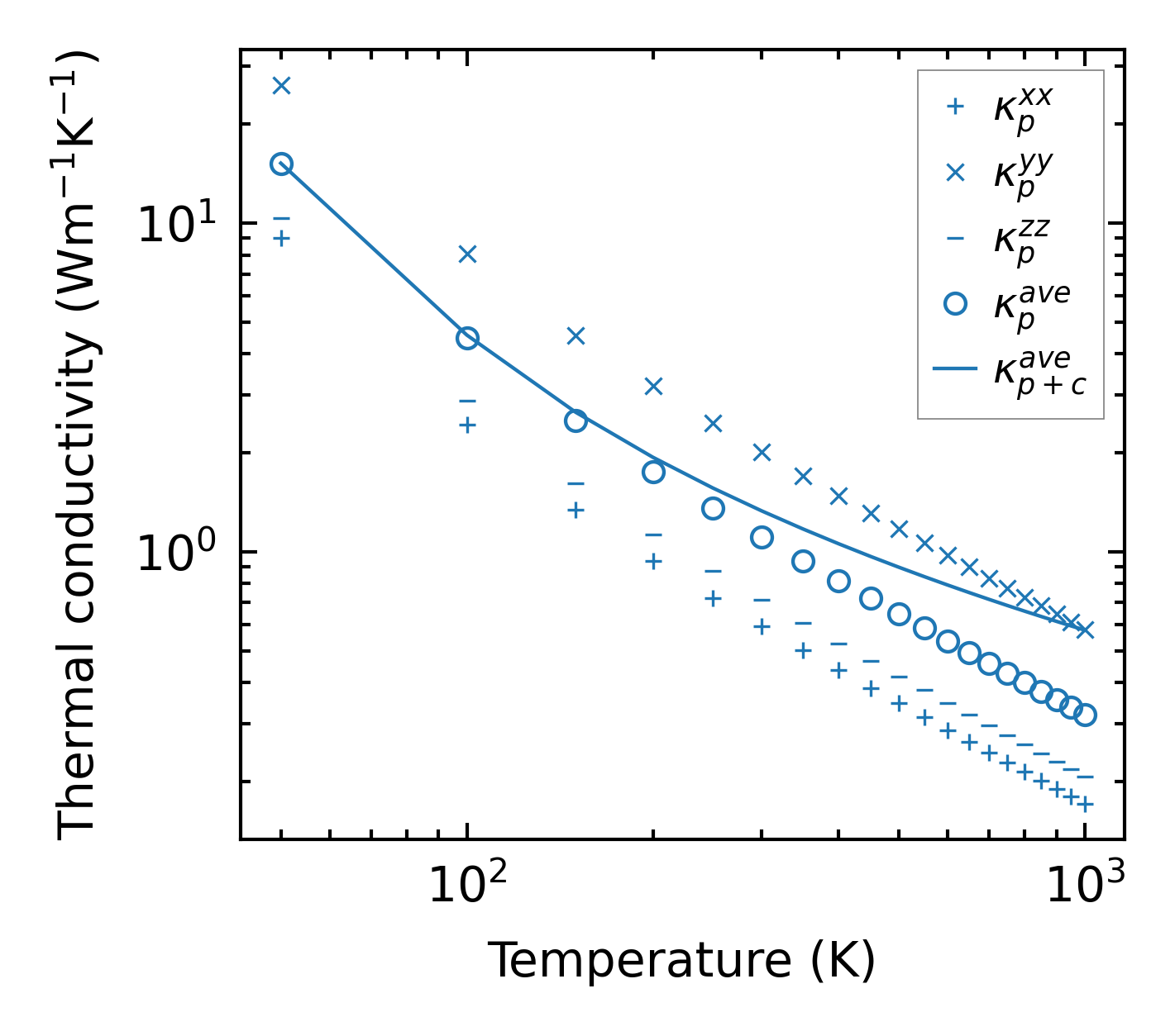
Summary

../../_images/fig_kappa3615.png

(a) Temperature-dependent lattice thermal conductivity

../../_images/fig_times7812.png

(b) Computation time