mp-7928/K2PtS2/anharm

Harmonic properties

../../_images/fig_bandos_pr4379.png

(a) Phonon dispersion with participation ratio and DOS

../../_images/fig_thermo4379.png

(b) Thermodynamic properties

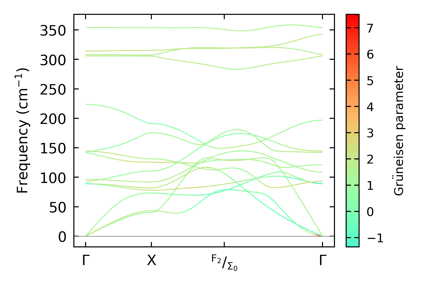
Grüneisen parameters

../../_images/fig_gru_all1876.png

(a) Grüneisen parameters

../../_images/fig_gruneisen1876.png

(b) Phonon dispersion with Grüneisen parameters

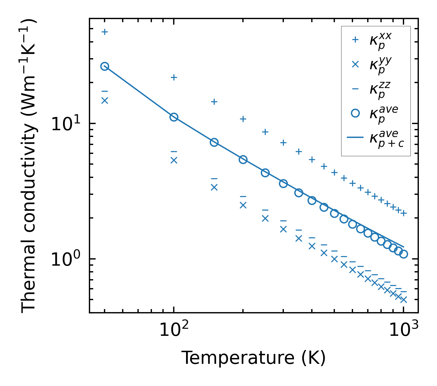
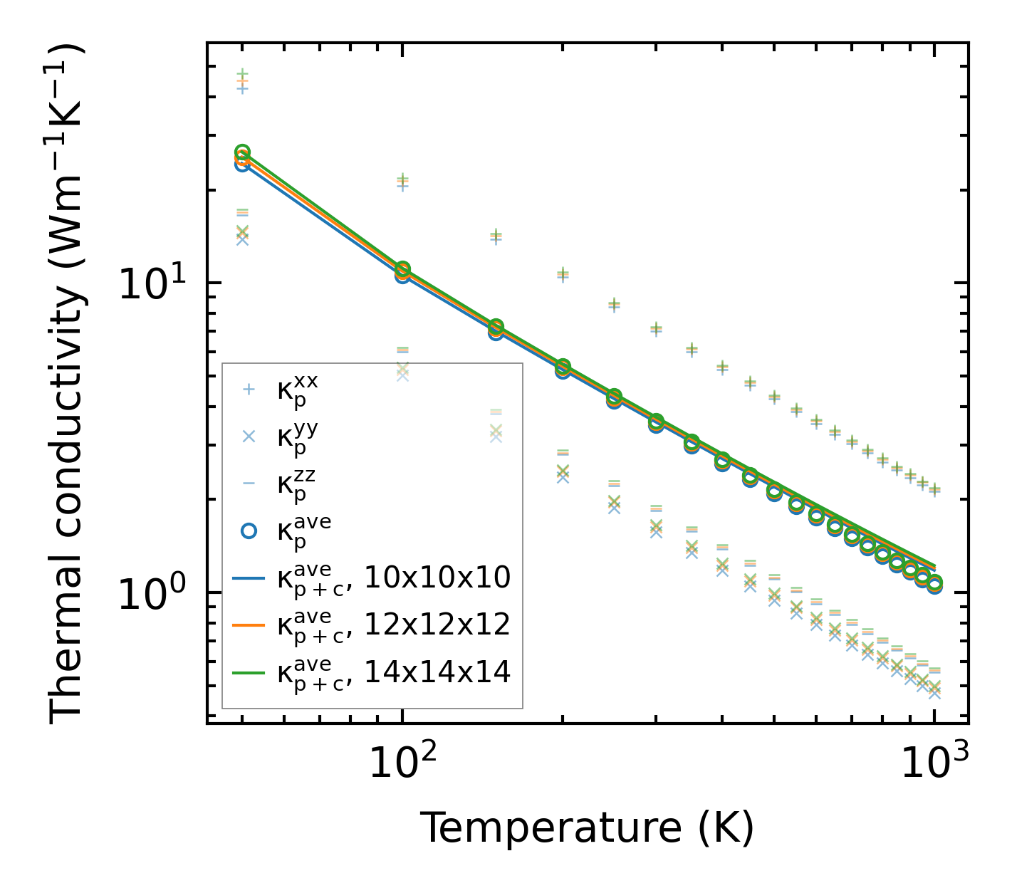
Thermal conductivity

3-phonon (LASSO) — q-mesh: 14x14x14, supercell: 3x2x2

../../_images/fig_kappa3594.png

(a) Temperature-dependent lattice thermal conductivity

../../_images/fig_kappa_vs_grain_size1904.png

(b) Peierls lattice thermal conductivity w.r.t grain size

Phonon lifetime and scattering rates

../../_images/fig_lifetime1866.png

(a) Phonon lifetime due to phonon-phonon scattering

../../_images/fig_scat_rates1865.png

(b) Phonon scattering rates

Cumulative and spectral thermal conductivity

../../_images/fig_cumu_frequency1866.png

(a) Spectral and cumulative thermal conductivity w.r.t frequency

../../_images/fig_cumu_mfp1866.png

(b) Spectral and cumulative thermal conductivity w.r.t MFP

Force constants

../../_images/fig_fc24192.png

(a) Force constants w.r.t atomic distance

Summary

../../_images/fig_kappa3595.png

(a) Temperature-dependent lattice thermal conductivity

../../_images/fig_times7801.png

(b) Computation time