mp-7293/HgPSe3/anharm

Equation of state

../../_images/fig_bm2246.png

(a) Equation of state

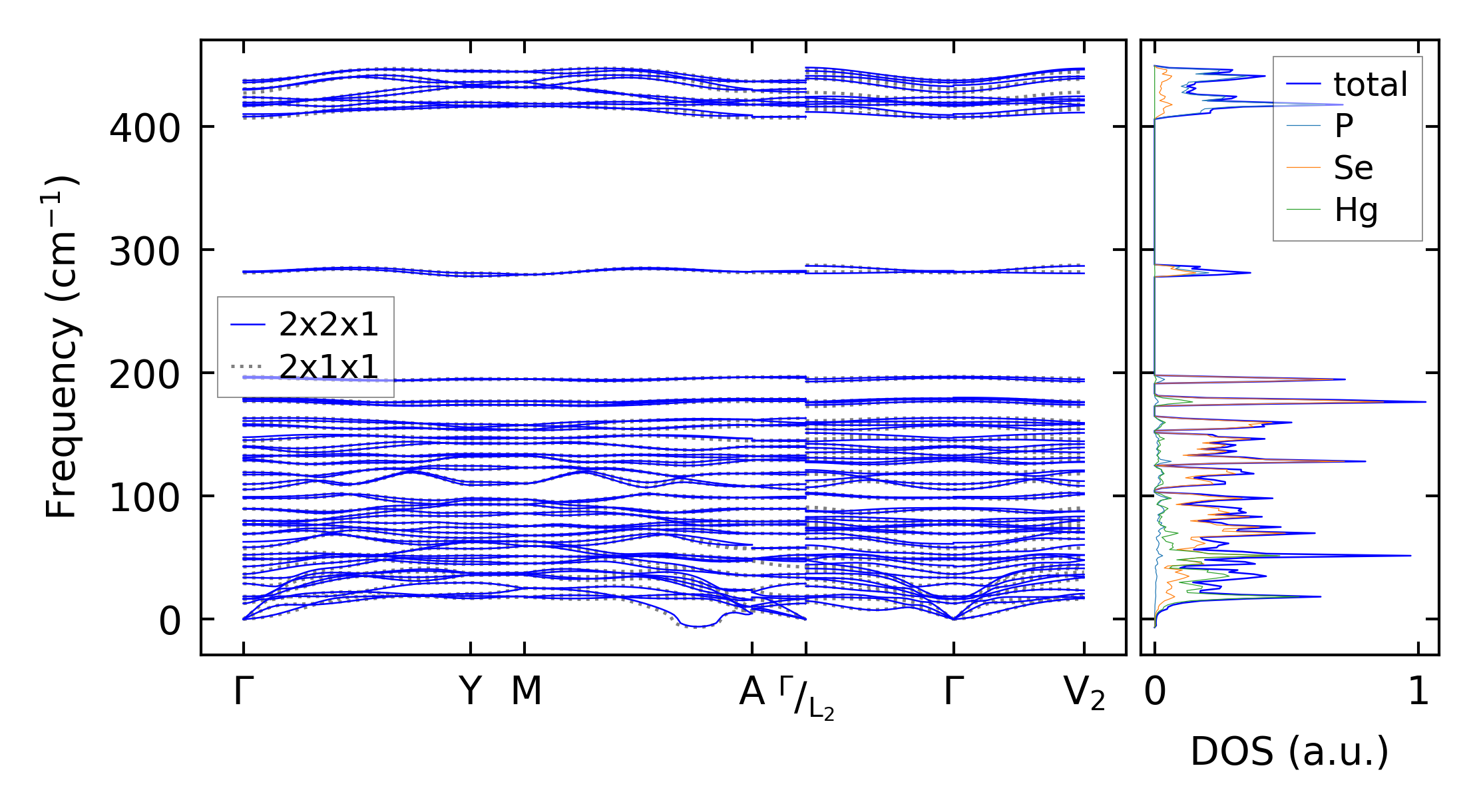
Harmonic properties

../../_images/fig_bandos_pr4504.png

(a) Phonon dispersion with participation ratio and DOS

../../_images/fig_bandos6336.png

(b) Phonon dispersion and DOS

../../_images/fig_thermo4504.png

(c) Thermodynamic properties

Grüneisen parameters

../../_images/fig_gru_all1930.png

(a) Grüneisen parameters

../../_images/fig_gruneisen1930.png

(b) Phonon dispersion with Grüneisen parameters

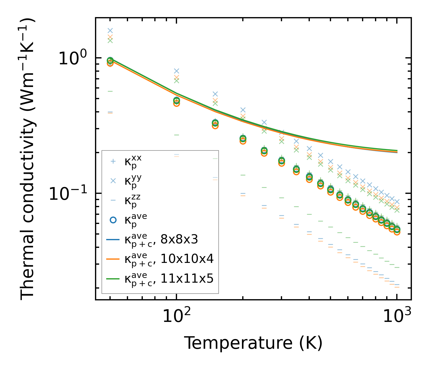
Thermal conductivity

3-phonon (LASSO) — q-mesh: 11x11x5, supercell: 2x1x1

../../_images/fig_kappa3695.png

(a) Temperature-dependent lattice thermal conductivity

../../_images/fig_kappa_vs_grain_size1957.png

(b) Peierls lattice thermal conductivity w.r.t grain size

Phonon lifetime and scattering rates

../../_images/fig_lifetime1919.png

(a) Phonon lifetime due to phonon-phonon scattering

../../_images/fig_scat_rates1918.png

(b) Phonon scattering rates

Cumulative and spectral thermal conductivity

../../_images/fig_cumu_frequency1919.png

(a) Spectral and cumulative thermal conductivity w.r.t frequency

../../_images/fig_cumu_mfp1919.png

(b) Spectral and cumulative thermal conductivity w.r.t MFP

Force constants

../../_images/fig_fc24316.png

(a) Force constants w.r.t atomic distance

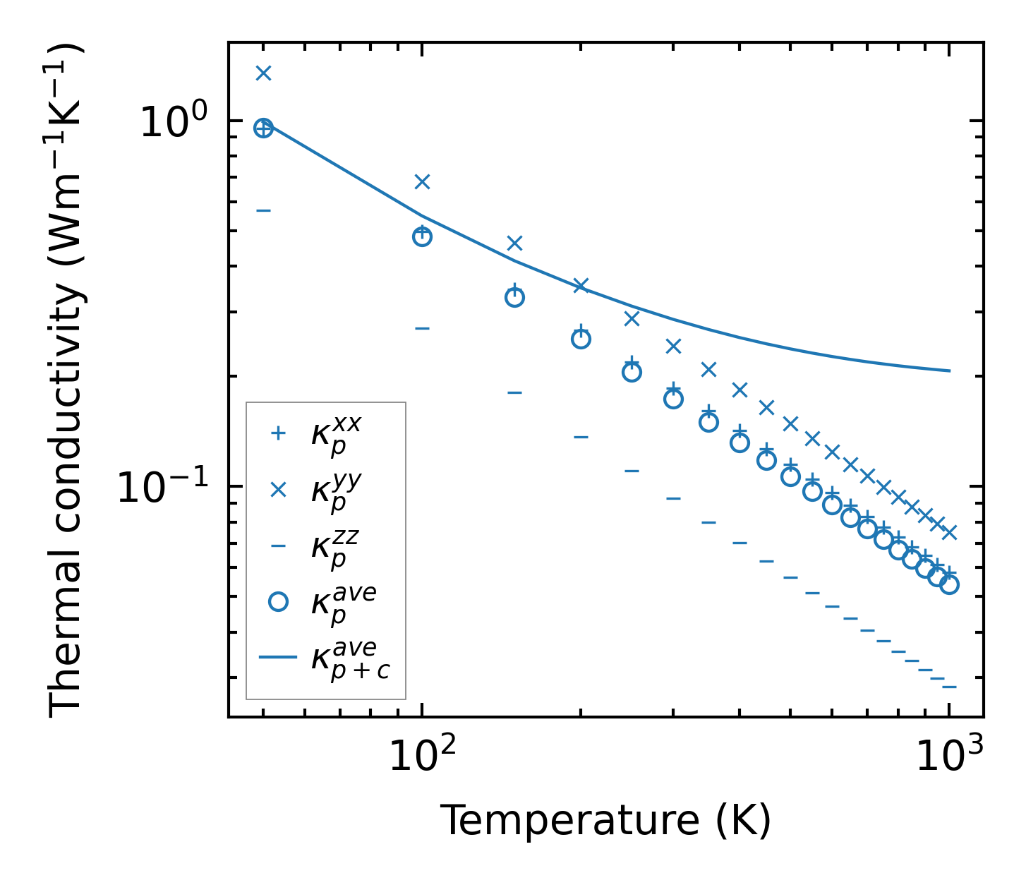
Summary

../../_images/fig_kappa3696.png

(a) Temperature-dependent lattice thermal conductivity

../../_images/fig_times8043.png

(b) Computation time