mp-7212-2/CsSmHgSe3/anharm

Equation of state

../../_images/fig_bm2235.png

(a) Equation of state

Harmonic properties

../../_images/fig_bandos_pr4483.png

(a) Phonon dispersion with participation ratio and DOS

../../_images/fig_thermo4483.png

(b) Thermodynamic properties

Grüneisen parameters

../../_images/fig_gru_all1918.png

(a) Grüneisen parameters

../../_images/fig_gruneisen1918.png

(b) Phonon dispersion with Grüneisen parameters

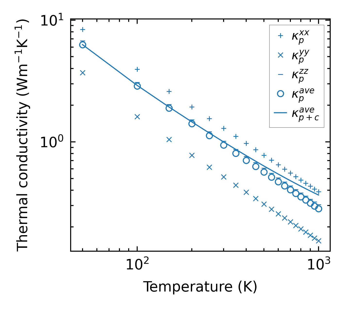
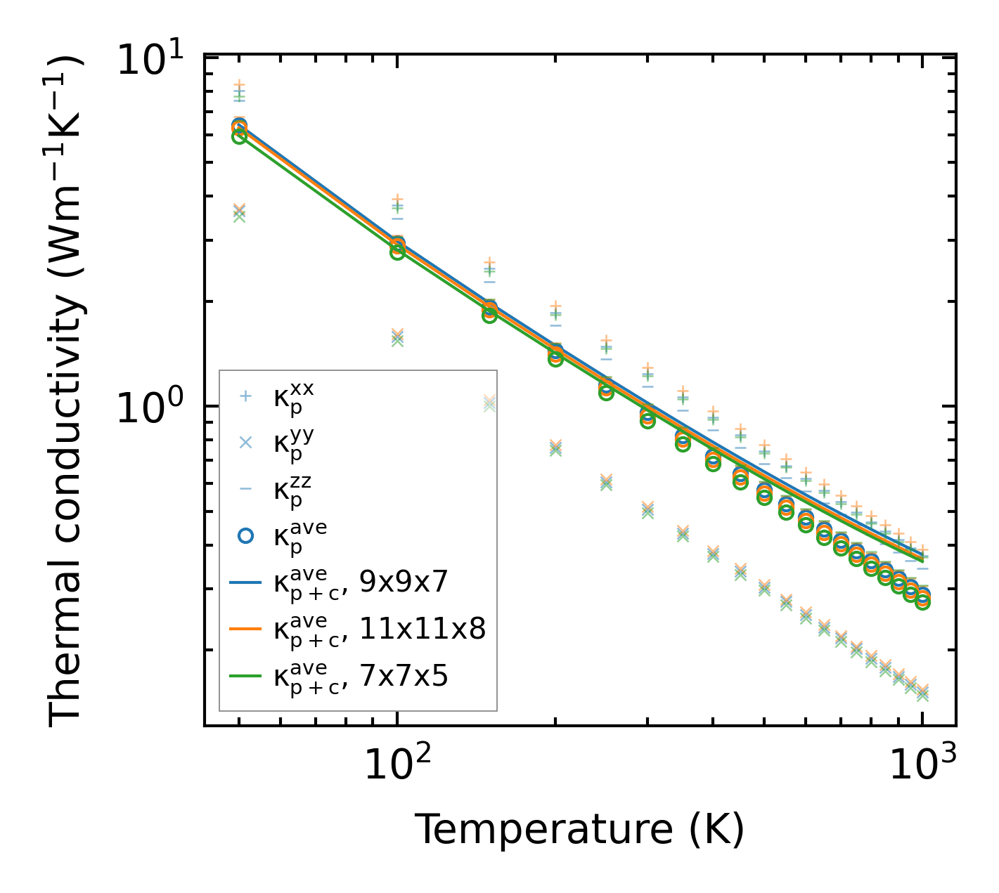
Thermal conductivity

3-phonon (LASSO) — q-mesh: 11x11x8, supercell: 3x1x2

../../_images/fig_kappa3673.png

(a) Temperature-dependent lattice thermal conductivity

../../_images/fig_kappa_vs_grain_size1945.png

(b) Peierls lattice thermal conductivity w.r.t grain size

Phonon lifetime and scattering rates

../../_images/fig_lifetime1907.png

(a) Phonon lifetime due to phonon-phonon scattering

../../_images/fig_scat_rates1906.png

(b) Phonon scattering rates

Cumulative and spectral thermal conductivity

../../_images/fig_cumu_frequency1907.png

(a) Spectral and cumulative thermal conductivity w.r.t frequency

../../_images/fig_cumu_mfp1907.png

(b) Spectral and cumulative thermal conductivity w.r.t MFP

Force constants

../../_images/fig_fc24296.png

(a) Force constants w.r.t atomic distance

Summary

../../_images/fig_kappa3674.png

(a) Temperature-dependent lattice thermal conductivity

../../_images/fig_times8014.png

(b) Computation time