mp-7611-2/Li2CaGeO4/anharm

Equation of state

../../_images/fig_bm2297.png

(a) Equation of state

Harmonic properties

../../_images/fig_bandos_pr4597.png

(a) Phonon dispersion with participation ratio and DOS

../../_images/fig_thermo4597.png

(b) Thermodynamic properties

Grüneisen parameters

../../_images/fig_gru_all1989.png

(a) Grüneisen parameters

../../_images/fig_gruneisen1989.png

(b) Phonon dispersion with Grüneisen parameters

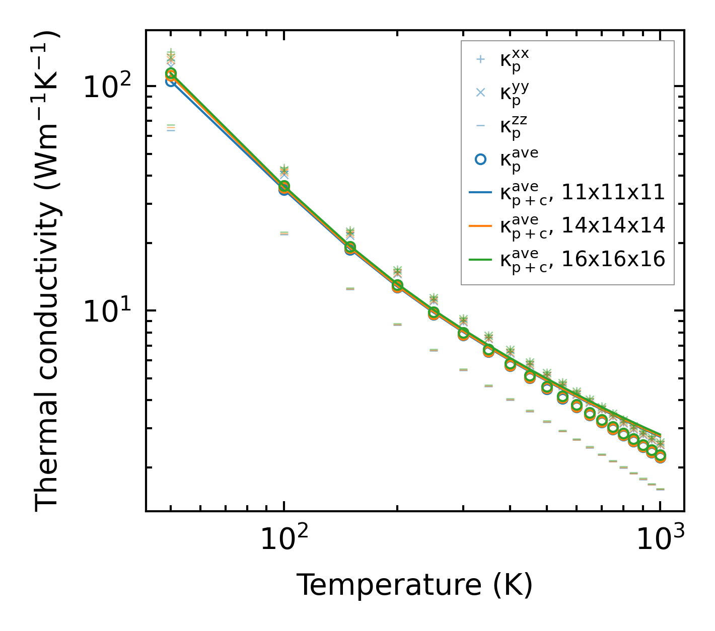
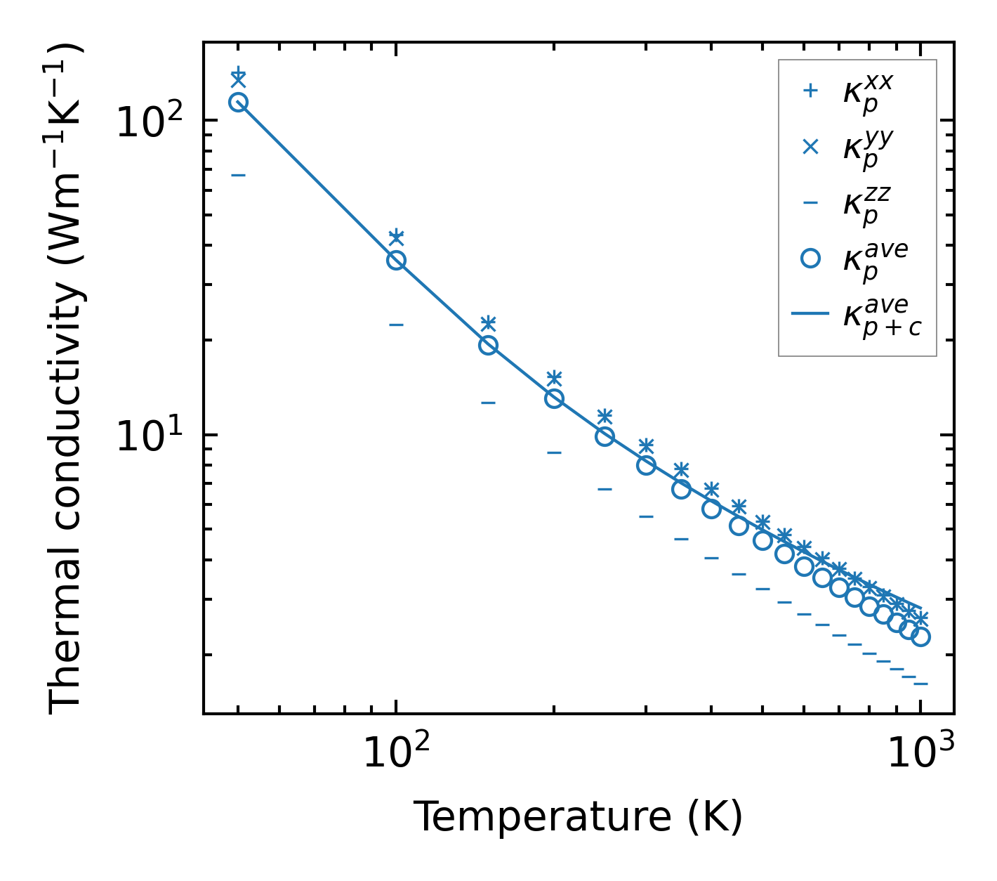
Thermal conductivity

3-phonon (LASSO) — q-mesh: 16x16x16, supercell: 2x2x2

../../_images/fig_kappa3810.png

(a) Temperature-dependent lattice thermal conductivity

../../_images/fig_kappa_vs_grain_size2016.png

(b) Peierls lattice thermal conductivity w.r.t grain size

Phonon lifetime and scattering rates

../../_images/fig_lifetime1978.png

(a) Phonon lifetime due to phonon-phonon scattering

../../_images/fig_scat_rates1977.png

(b) Phonon scattering rates

Cumulative and spectral thermal conductivity

../../_images/fig_cumu_frequency1978.png

(a) Spectral and cumulative thermal conductivity w.r.t frequency

../../_images/fig_cumu_mfp1978.png

(b) Spectral and cumulative thermal conductivity w.r.t MFP

Force constants

../../_images/fig_fc24409.png

(a) Force constants w.r.t atomic distance

Summary

../../_images/fig_kappa3811.png

(a) Temperature-dependent lattice thermal conductivity

../../_images/fig_times8182.png

(b) Computation time