mp-7863-2/Rb2Sn2O3/anharm

Equation of state

../../_images/fig_bm2182.png

(a) Equation of state

Harmonic properties

../../_images/fig_bandos_pr4348.png

(a) Phonon dispersion with participation ratio and DOS

../../_images/fig_thermo4348.png

(b) Thermodynamic properties

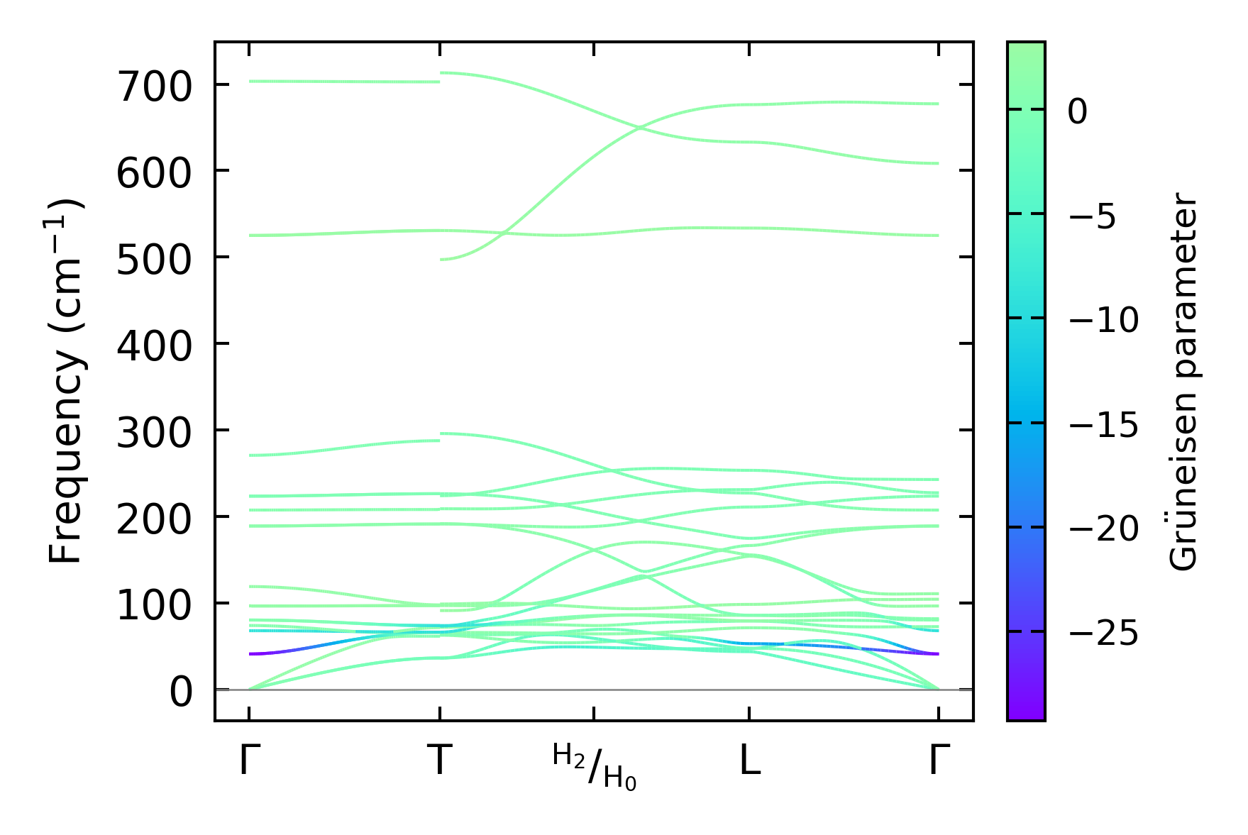
Grüneisen parameters

../../_images/fig_gru_all1862.png

(a) Grüneisen parameters

../../_images/fig_gruneisen1862.png

(b) Phonon dispersion with Grüneisen parameters

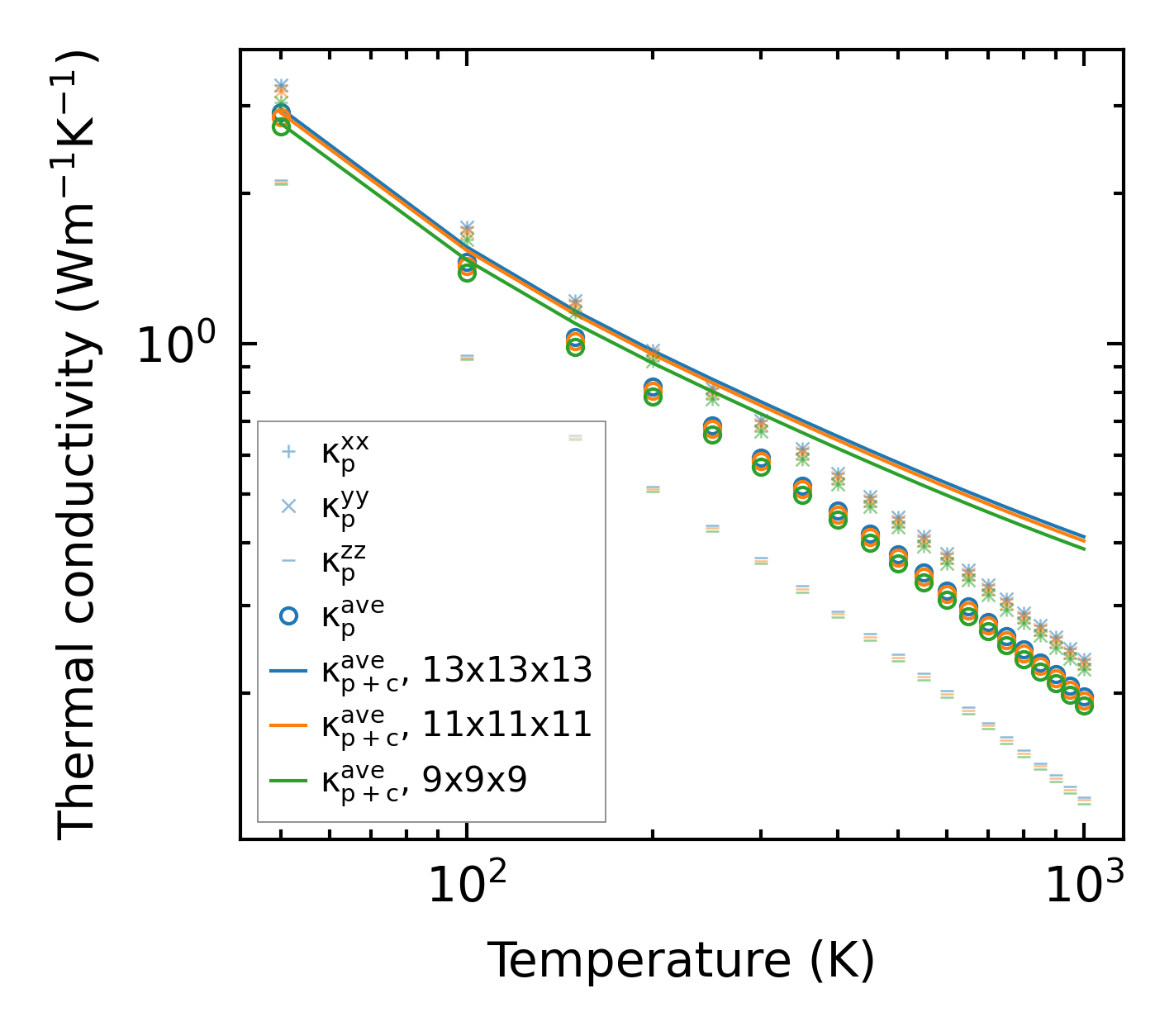
Thermal conductivity

3-phonon (LASSO) — q-mesh: 13x13x13, supercell: 2x2x1

../../_images/fig_kappa3567.png

(a) Temperature-dependent lattice thermal conductivity

../../_images/fig_kappa_vs_grain_size1890.png

(b) Peierls lattice thermal conductivity w.r.t grain size

Phonon lifetime and scattering rates

../../_images/fig_lifetime1852.png

(a) Phonon lifetime due to phonon-phonon scattering

../../_images/fig_scat_rates1851.png

(b) Phonon scattering rates

Cumulative and spectral thermal conductivity

../../_images/fig_cumu_frequency1852.png

(a) Spectral and cumulative thermal conductivity w.r.t frequency

../../_images/fig_cumu_mfp1852.png

(b) Spectral and cumulative thermal conductivity w.r.t MFP

Force constants

../../_images/fig_fc24161.png

(a) Force constants w.r.t atomic distance

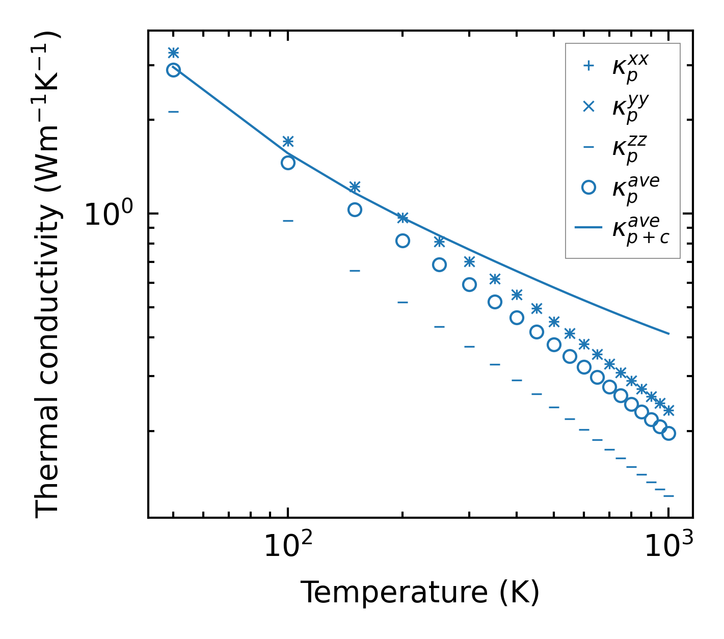
Summary

../../_images/fig_kappa3568.png

(a) Temperature-dependent lattice thermal conductivity

../../_images/fig_times7768.png

(b) Computation time