mp-7895/Rb2O2/anharm

Harmonic properties

../../_images/fig_bandos_pr4354.png

(a) Phonon dispersion with participation ratio and DOS

../../_images/fig_thermo4354.png

(b) Thermodynamic properties

Grüneisen parameters

../../_images/fig_gru_all1865.png

(a) Grüneisen parameters

../../_images/fig_gruneisen1865.png

(b) Phonon dispersion with Grüneisen parameters

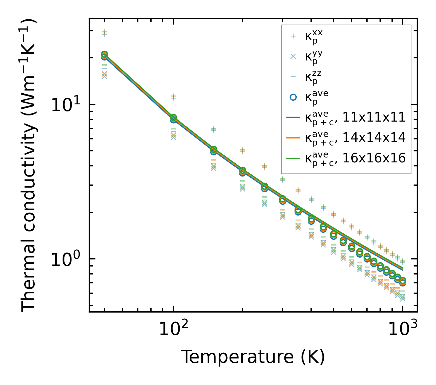
Thermal conductivity

3-phonon (LASSO) — q-mesh: 16x16x16, supercell: 3x3x2

../../_images/fig_kappa3573.png

(a) Temperature-dependent lattice thermal conductivity

../../_images/fig_kappa_vs_grain_size1893.png

(b) Peierls lattice thermal conductivity w.r.t grain size

Phonon lifetime and scattering rates

../../_images/fig_lifetime1855.png

(a) Phonon lifetime due to phonon-phonon scattering

../../_images/fig_scat_rates1854.png

(b) Phonon scattering rates

Cumulative and spectral thermal conductivity

../../_images/fig_cumu_frequency1855.png

(a) Spectral and cumulative thermal conductivity w.r.t frequency

../../_images/fig_cumu_mfp1855.png

(b) Spectral and cumulative thermal conductivity w.r.t MFP

Force constants

../../_images/fig_fc24167.png

(a) Force constants w.r.t atomic distance

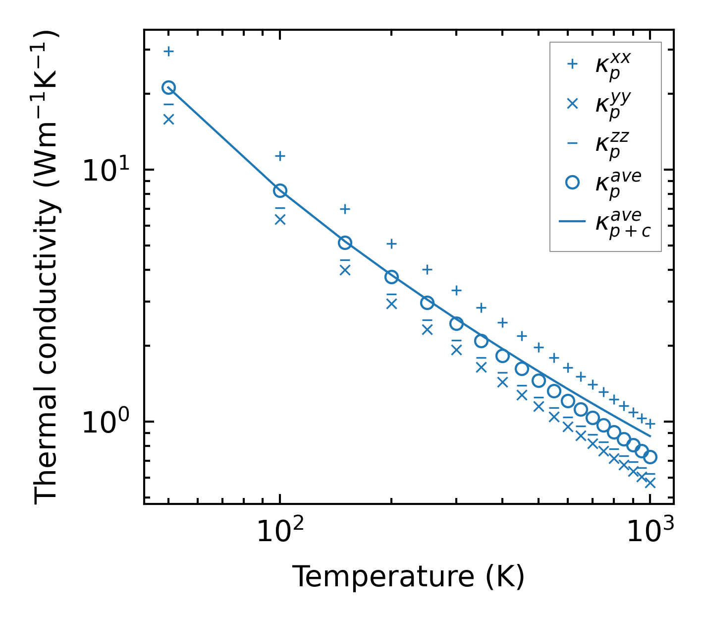
Summary

../../_images/fig_kappa3574.png

(a) Temperature-dependent lattice thermal conductivity

../../_images/fig_times7775.png

(b) Computation time