mp-7752-2/Sr3SbN/anharm

Equation of state

../../_images/fig_bm2323.png

(a) Equation of state

Harmonic properties

../../_images/fig_bandos_pr4650.png

(a) Phonon dispersion with participation ratio and DOS

../../_images/fig_bandos6467.png

(b) Phonon dispersion and DOS

../../_images/fig_thermo4650.png

(c) Thermodynamic properties

Grüneisen parameters

../../_images/fig_gru_all2014.png

(a) Grüneisen parameters

../../_images/fig_gruneisen2014.png

(b) Phonon dispersion with Grüneisen parameters

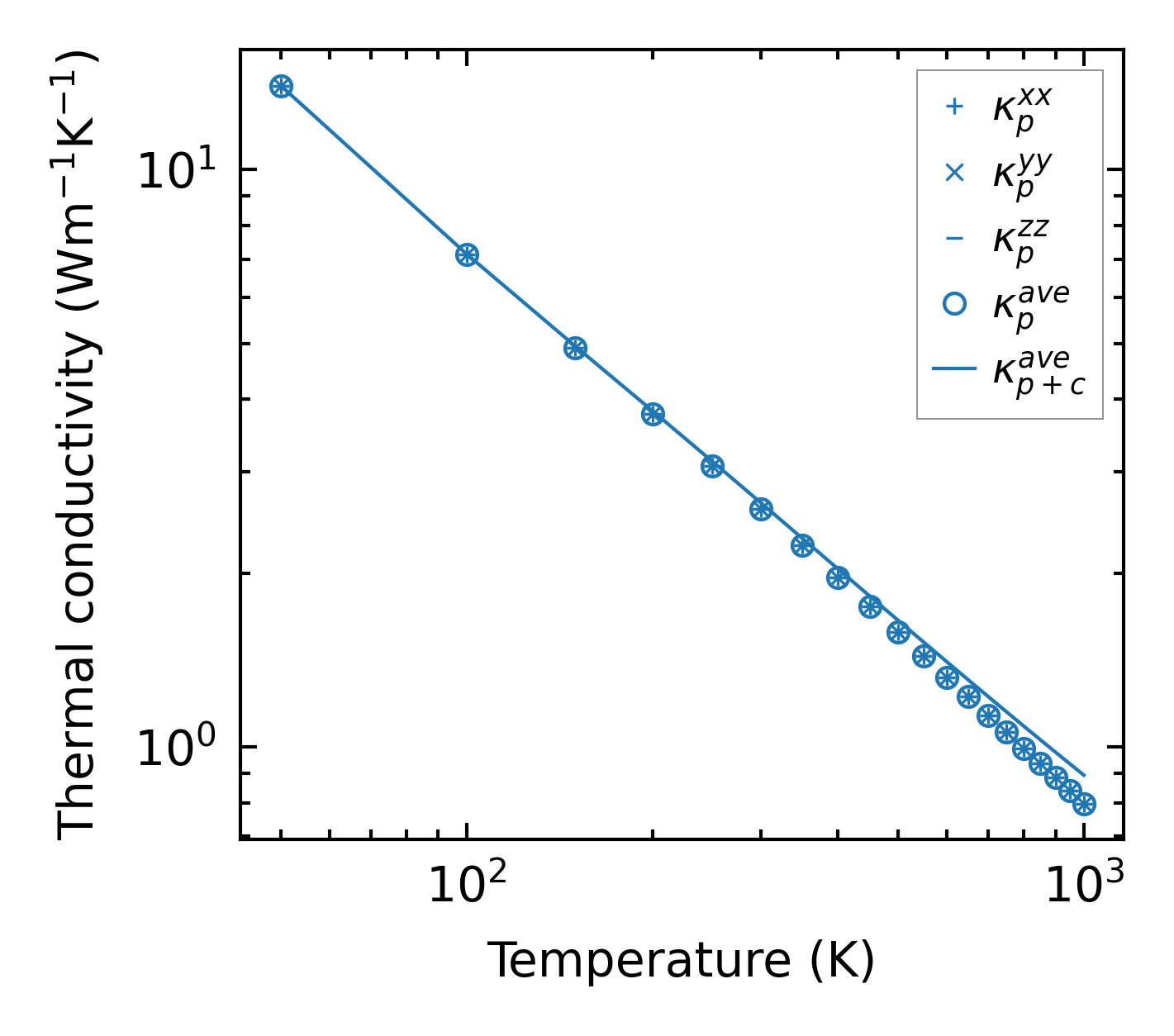
Thermal conductivity

3-phonon, supercell 4x4x4 — q-mesh: 13x13x13, supercell: 4x4x4

../../_images/fig_kappa3856.png

(a) Temperature-dependent lattice thermal conductivity

../../_images/fig_kappa_vs_grain_size2041.png

(b) Peierls lattice thermal conductivity w.r.t grain size

Phonon lifetime and scattering rates

../../_images/fig_lifetime2001.png

(a) Phonon lifetime due to phonon-phonon scattering

../../_images/fig_scat_rates2000.png

(b) Phonon scattering rates

Cumulative and spectral thermal conductivity

../../_images/fig_cumu_frequency2001.png

(a) Spectral and cumulative thermal conductivity w.r.t frequency

../../_images/fig_cumu_mfp2001.png

(b) Spectral and cumulative thermal conductivity w.r.t MFP

Force constants

../../_images/fig_fc3188.png

(a) Force constants w.r.t atomic distance

Summary

../../_images/fig_times8249.png

(a) Computation time