mp-7534/K2Cd2O3/anharm

Harmonic properties

../../_images/fig_bandos6395.png

(a) Phonon dispersion and DOS

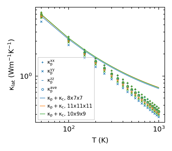
Thermal conductivity

Summary

../../_images/fig_kappa3773.png

(a) Temperature-dependent lattice thermal conductivity

../../_images/fig_times8139.png

(b) Computation time