mp-7067/CaCd2As2/anharm

Harmonic properties

../../_images/fig_bandos_pr4789.png

(a) Phonon dispersion with participation ratio and DOS

../../_images/fig_thermo4789.png

(b) Thermodynamic properties

Grüneisen parameters

../../_images/fig_gru_all2062.png

(a) Grüneisen parameters

../../_images/fig_gruneisen2062.png

(b) Phonon dispersion with Grüneisen parameters

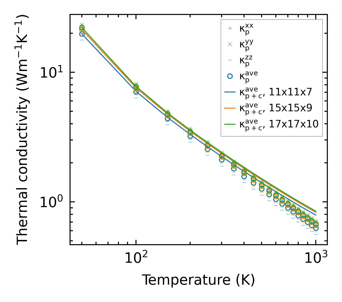
Thermal conductivity

3-phonon (LASSO) — q-mesh: 17x17x10, supercell: 3x3x2

../../_images/fig_kappa3952.png

(a) Temperature-dependent lattice thermal conductivity

../../_images/fig_kappa_vs_grain_size2092.png

(b) Peierls lattice thermal conductivity w.r.t grain size

Phonon lifetime and scattering rates

../../_images/fig_lifetime2049.png

(a) Phonon lifetime due to phonon-phonon scattering

../../_images/fig_scat_rates2048.png

(b) Phonon scattering rates

Cumulative and spectral thermal conductivity

../../_images/fig_cumu_frequency2049.png

(a) Spectral and cumulative thermal conductivity w.r.t frequency

../../_images/fig_cumu_mfp2049.png

(b) Spectral and cumulative thermal conductivity w.r.t MFP

Force constants

../../_images/fig_fc24600.png

(a) Force constants w.r.t atomic distance

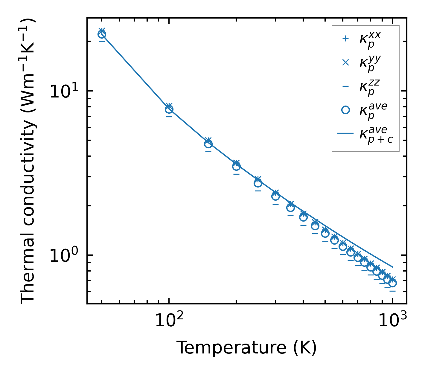
Summary

../../_images/fig_kappa3953.png

(a) Temperature-dependent lattice thermal conductivity

../../_images/fig_times8493.png

(b) Computation time