mp-7979/K2PdF6/anharm

Equation of state

../../_images/fig_bm2204.png

(a) Equation of state

Harmonic properties

../../_images/fig_bandos_pr4407.png

(a) Phonon dispersion with participation ratio and DOS

../../_images/fig_bandos6151.png

(b) Phonon dispersion and DOS

../../_images/fig_thermo4407.png

(c) Thermodynamic properties

Grüneisen parameters

../../_images/fig_gru_all1900.png

(a) Grüneisen parameters

../../_images/fig_gruneisen1900.png

(b) Phonon dispersion with Grüneisen parameters

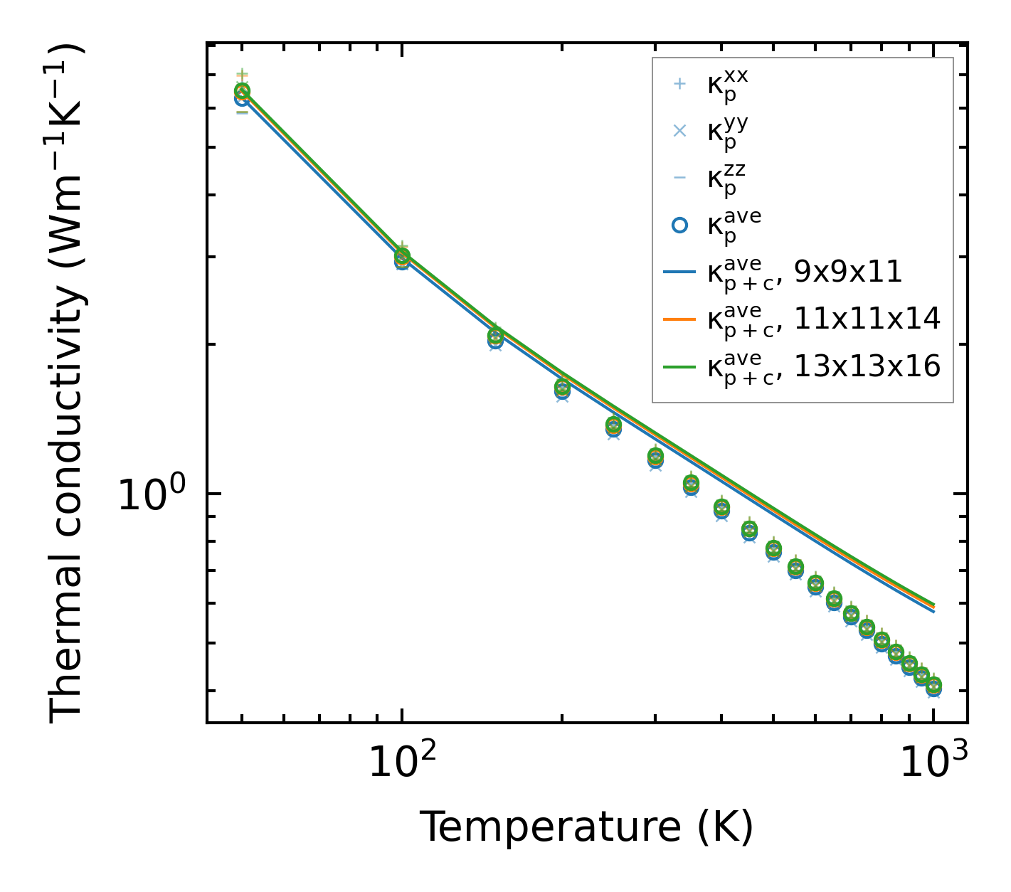
Thermal conductivity

3-phonon (LASSO) — q-mesh: 13x13x16, supercell: 2x2x3

../../_images/fig_kappa3639.png

(a) Temperature-dependent lattice thermal conductivity

../../_images/fig_kappa_vs_grain_size1927.png

(b) Peierls lattice thermal conductivity w.r.t grain size

Phonon lifetime and scattering rates

../../_images/fig_lifetime1889.png

(a) Phonon lifetime due to phonon-phonon scattering

../../_images/fig_scat_rates1888.png

(b) Phonon scattering rates

Cumulative and spectral thermal conductivity

../../_images/fig_cumu_frequency1889.png

(a) Spectral and cumulative thermal conductivity w.r.t frequency

../../_images/fig_cumu_mfp1889.png

(b) Spectral and cumulative thermal conductivity w.r.t MFP

Force constants

../../_images/fig_fc24220.png

(a) Force constants w.r.t atomic distance

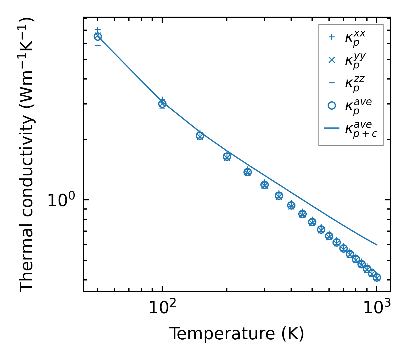
Summary

../../_images/fig_kappa3640.png

(a) Temperature-dependent lattice thermal conductivity

../../_images/fig_times7833.png

(b) Computation time