mp-7249/Ba3Nb2ZnO9/anharm

Harmonic properties

../../_images/fig_bandos_pr4491.png

(a) Phonon dispersion with participation ratio and DOS

../../_images/fig_thermo4491.png

(b) Thermodynamic properties

Grüneisen parameters

../../_images/fig_gru_all1925.png

(a) Grüneisen parameters

../../_images/fig_gruneisen1925.png

(b) Phonon dispersion with Grüneisen parameters

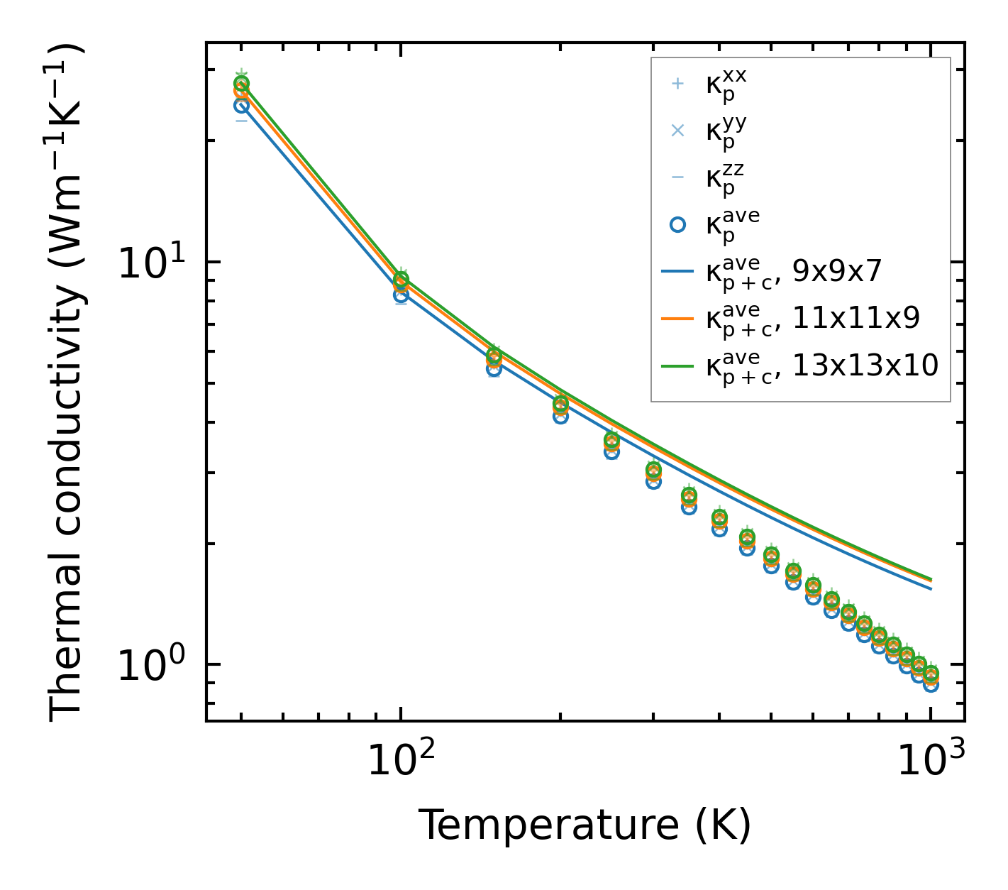
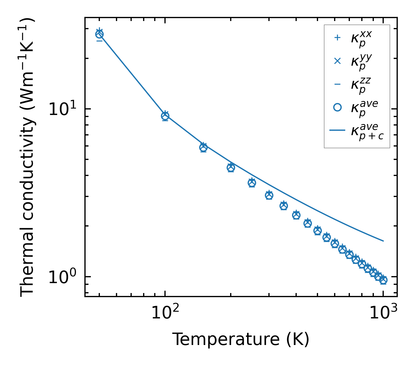
Thermal conductivity

3-phonon (LASSO) — q-mesh: 13x13x10, supercell: 2x2x2

../../_images/fig_kappa3686.png

(a) Temperature-dependent lattice thermal conductivity

../../_images/fig_kappa_vs_grain_size1952.png

(b) Peierls lattice thermal conductivity w.r.t grain size

Phonon lifetime and scattering rates

../../_images/fig_lifetime1914.png

(a) Phonon lifetime due to phonon-phonon scattering

../../_images/fig_scat_rates1913.png

(b) Phonon scattering rates

Cumulative and spectral thermal conductivity

../../_images/fig_cumu_frequency1914.png

(a) Spectral and cumulative thermal conductivity w.r.t frequency

../../_images/fig_cumu_mfp1914.png

(b) Spectral and cumulative thermal conductivity w.r.t MFP

Force constants

../../_images/fig_fc24303.png

(a) Force constants w.r.t atomic distance

Summary

../../_images/fig_kappa3687.png

(a) Temperature-dependent lattice thermal conductivity

../../_images/fig_times8024.png

(b) Computation time