mp-7756/SrLiSb/anharm

Harmonic properties

../../_images/fig_bandos_pr4651.png

(a) Phonon dispersion with participation ratio and DOS

../../_images/fig_thermo4651.png

(b) Thermodynamic properties

Grüneisen parameters

../../_images/fig_gru_all2015.png

(a) Grüneisen parameters

../../_images/fig_gruneisen2015.png

(b) Phonon dispersion with Grüneisen parameters

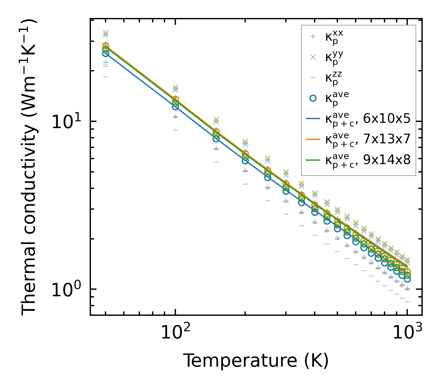
Thermal conductivity

3-phonon (LASSO) — q-mesh: 9x14x8, supercell: 2x3x2

../../_images/fig_kappa3857.png

(a) Temperature-dependent lattice thermal conductivity

../../_images/fig_kappa_vs_grain_size2042.png

(b) Peierls lattice thermal conductivity w.r.t grain size

Phonon lifetime and scattering rates

../../_images/fig_lifetime2002.png

(a) Phonon lifetime due to phonon-phonon scattering

../../_images/fig_scat_rates2001.png

(b) Phonon scattering rates

Cumulative and spectral thermal conductivity

../../_images/fig_cumu_frequency2002.png

(a) Spectral and cumulative thermal conductivity w.r.t frequency

../../_images/fig_cumu_mfp2002.png

(b) Spectral and cumulative thermal conductivity w.r.t MFP

Force constants

../../_images/fig_fc24462.png

(a) Force constants w.r.t atomic distance

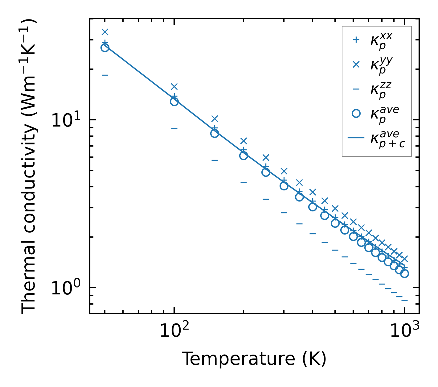
Summary

../../_images/fig_kappa3858.png

(a) Temperature-dependent lattice thermal conductivity

../../_images/fig_times8250.png

(b) Computation time